GM Service Manual Online
For 1990-2009 cars only

INTERMITTENT CODES E047,B333 B334,B335,B336 AND/OR B337

SUBJECT: CODES E047, B333, B334, B335, B336, AND/OR B337 (NEW DIAGNOSIS PROCEDURE)

VEHICLES AFFECTED: 1986-92 "E,K,V" MODELS

THIS BULLETIN SUPERSEDES AND REPLACES CORPORATE BULLETIN REFERENCE NUMBER 018112.** THIS BULLETIN IS BEING REVISED TO ADD THE 1991-92 MODEL YEARS AND INCLUDE NEW ART FOR OLDSMOBILE TORONADO.

Some 1986-1991 Eldorados, Sevilles, Toronados, Rivieras, and Reattas, and 1987-1992 Allantes may experience intermittent setting of data line codes E047, B333, B334, B335, B336, and/or B337. These may all be set at one time or in any combination. Single codes should be diagnosed using the appropriate trouble tree in the Service information Manual. In addition to the codes, some of the following may also occur:

o IPC, CRT, and/or the CCDIC flashes on and off or bright/dim

o Fuel gage flashes "E"

o Trip odometer resets to 0

o ECC switches to full heat at high blower speed out the front defrost ducts

o Erroneous displays appear on the IPC or CCDIC

o ECC panel will not respond to pressing of buttons

o CRT, DIC, or CCDIC may display SYSTEM PROBLEM

o Clock does not display or loses time (Buick only)

These conditions may be caused by either a damaged data line circuit or one of the components connected to the data line. When operating normally, the serial data line voltage should continually fluctuate from 0 to 5 volts.

DIAGNOSIS:

--------- If the serial data line has been shorted to ground, the voltage at the Assembly Line Data Link (ALDL) will be 0 V. If it has been shorted to voltage, it will be over 5 V. If one of the components on the serial data line is affecting the data line voltage, the serial data voltage at the ALDL connector will be a steady value anywhere between 0.1 and 5 volts (e.g., 2.7V, 4.8V, etc.). Cadillac only: It has been found that a steady serial data line voltage of 4.7 to 4.9 volts usually means the BCM is the cause, and 0.1 to 0.3 volts usually means the ECM is the cause.

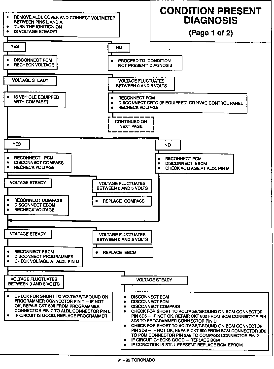
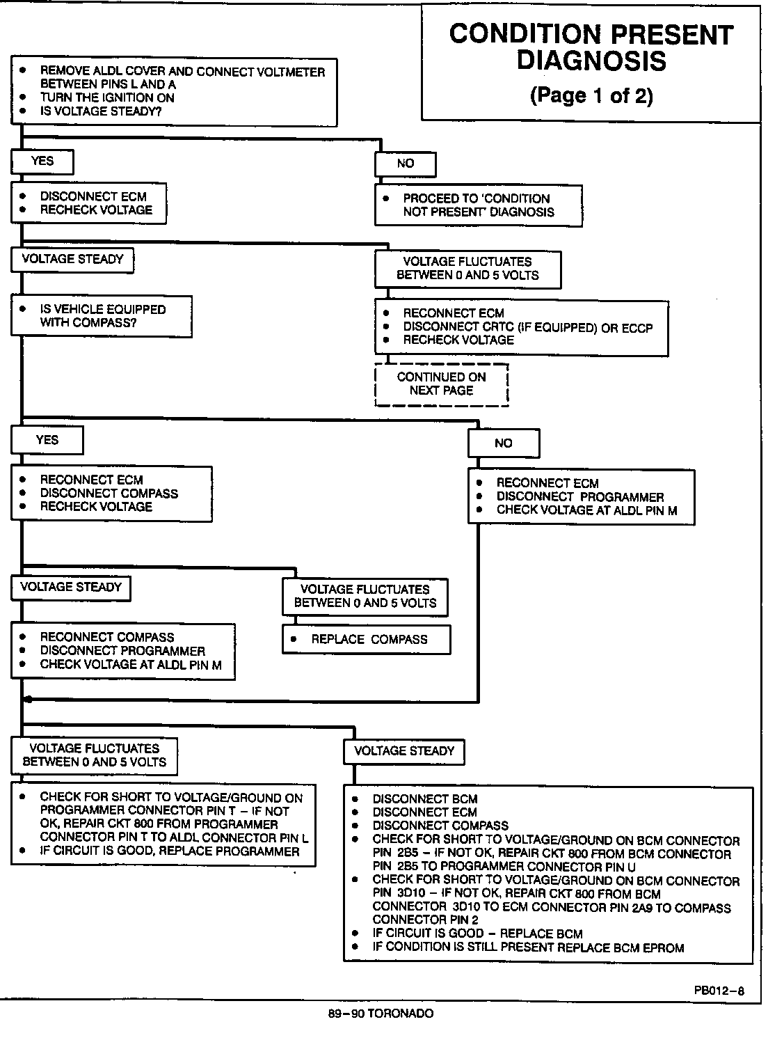
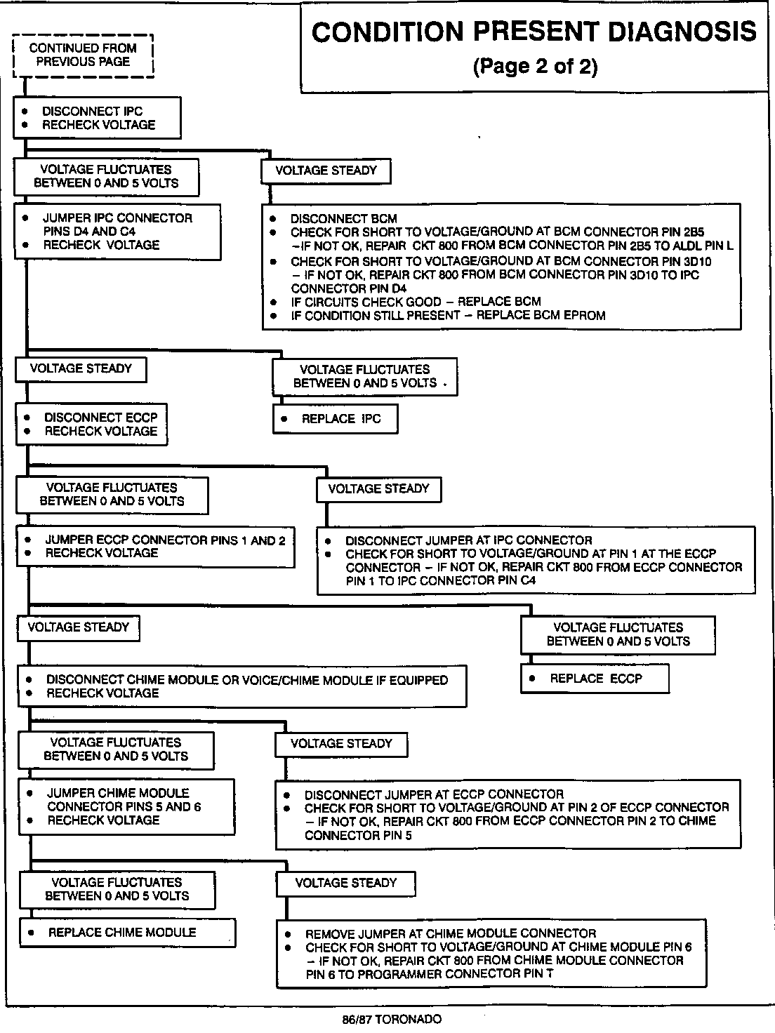
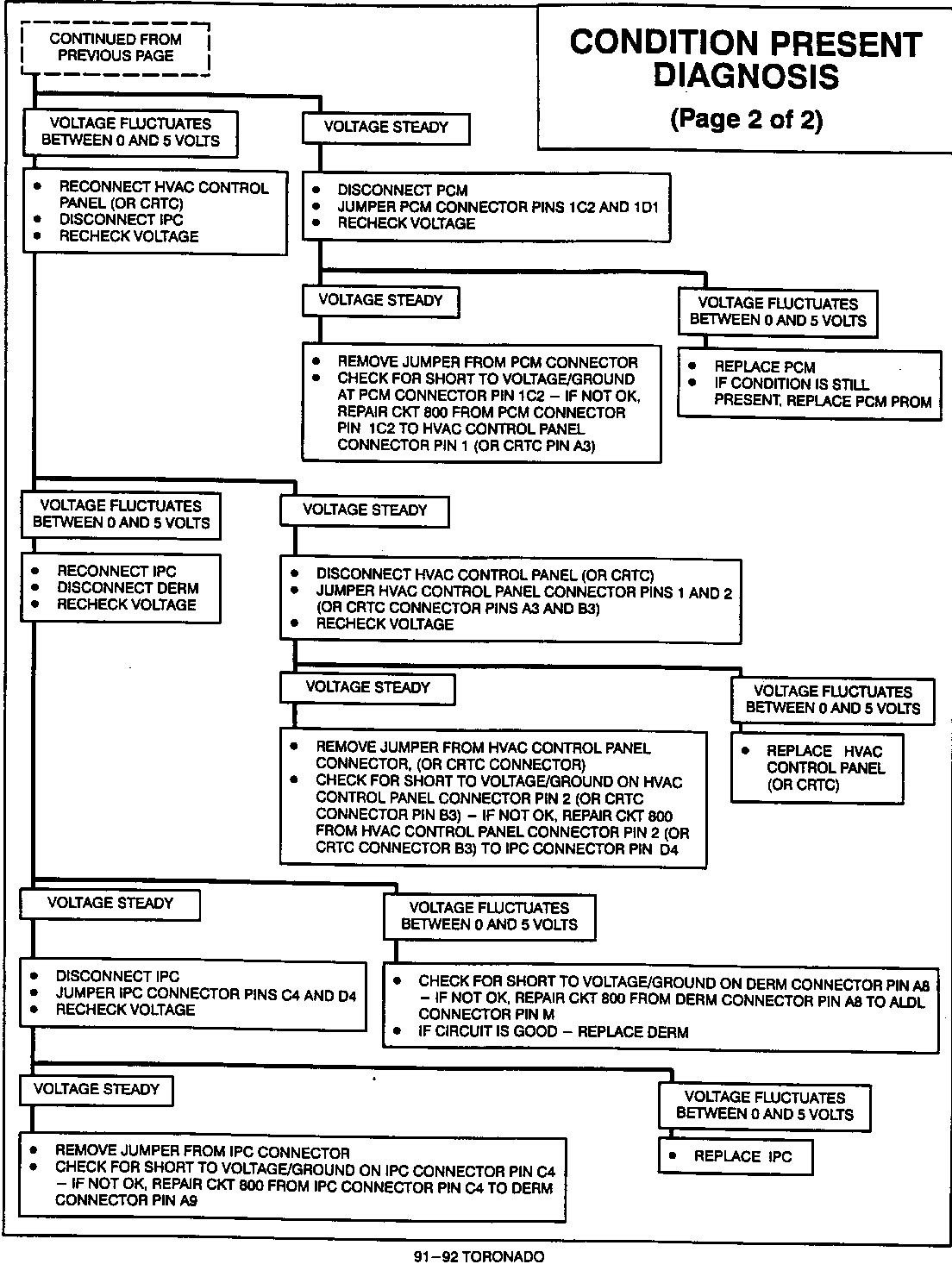
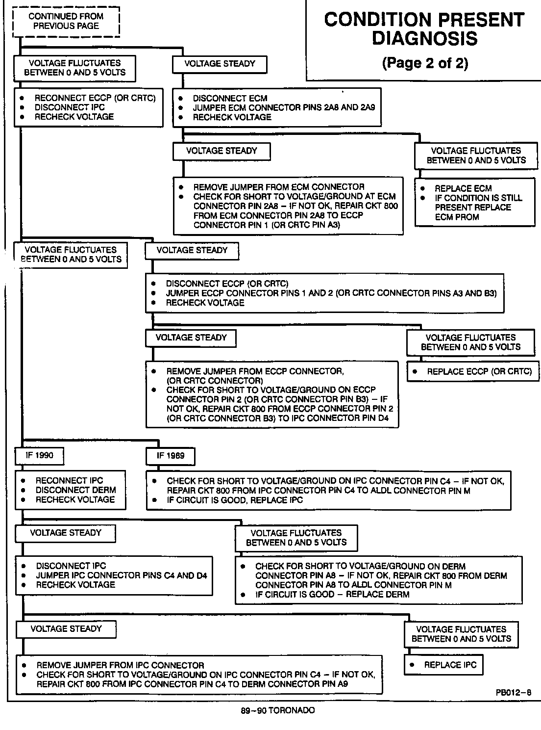
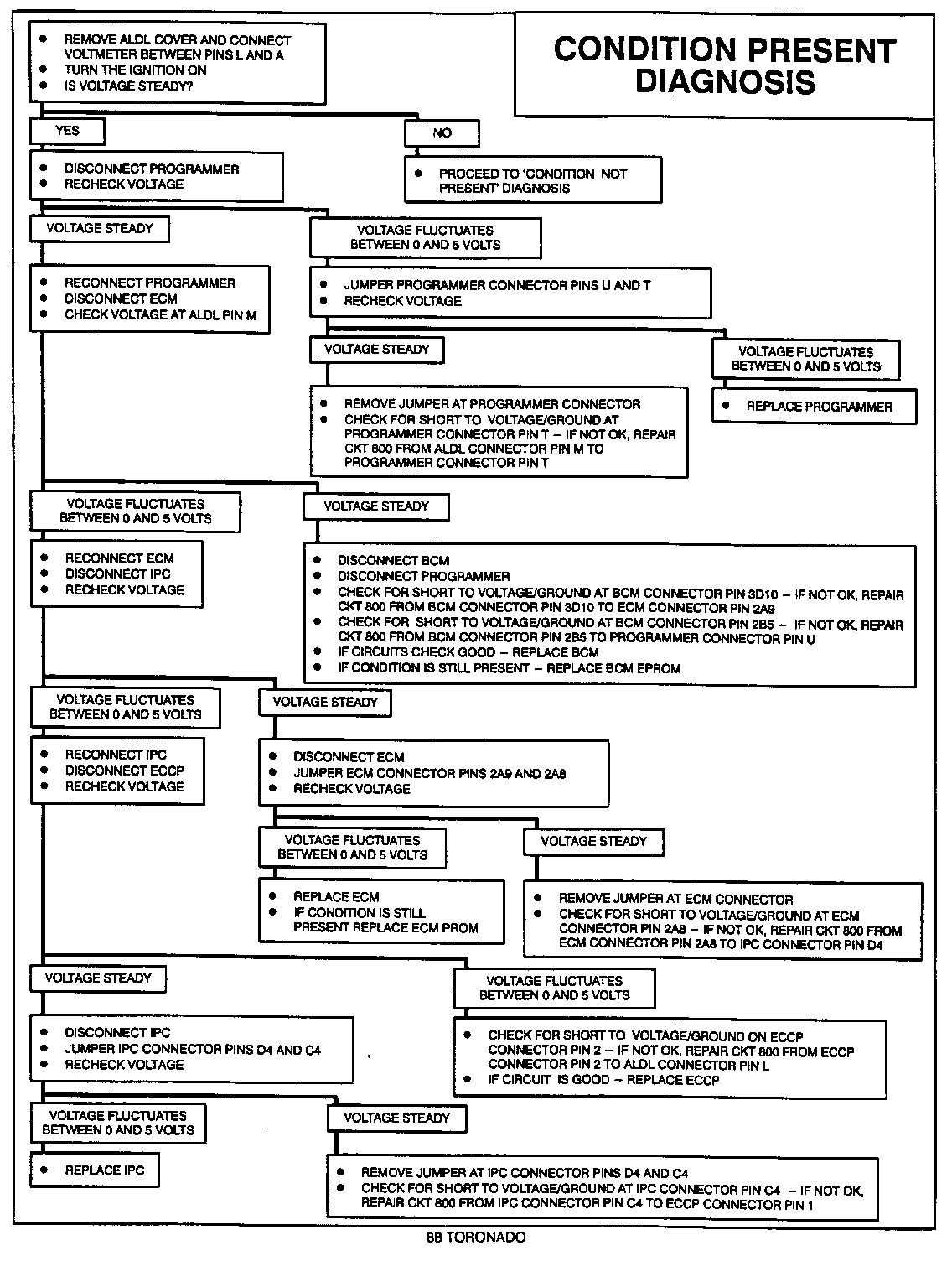
CONDITION PRESENT:

This section explains how to find the cause of a data line condition that is present all the time or can be duplicated for diagnosis. Using the instructions in this section, perform the appropriate "condition present diagnosis" trouble tree.

The condition present diagnosis charts have many branches that instruct to check for voltage/ground on the 800 circuit. First, check for voltage at the specified pin with the ignition on (there should be less than 0.1 volts). If there is no voltage, check the circuit for resistance to ground (should read open to ground on the highest resistance setting). The trouble trees are written so that whenever these checks are made the right components are connected/disconnected to prevent false readings. Therefore, do not reconnect components until instructed to do so or when diagnosis is completed.

If the voltage/resistance test indicates there is a problem in part of the 800 circuit, check that section of the 800 circuit by tracing the wire and checking connections in that segment. Refer to page 8A-50-0 in the Service Information Manual for circuit layout. If the circuit is difficult to trace or no problem in the circuit is visible, it may be better to restring the segment involved. Cadillac only: If this segment includes the flex circuits behind the IPC on E/K models, isolate the problem to the wiring up to C201 or a C201/flex circuit problem. If the problem is in connector C201 or the flex circuits, the entire carrier must be replaced.

NOTE: Data line conditions tend to be intermittent and may disappear while disconnecting/reconnecting components. Therefore, double check each step of the trouble tree to make sure the conditions have not disappeared during testing. If they have disappeared, return to the last step taken while the condition was present and continue when condition returns. If the condition cannot be duplicated again or the condition present diagnosis does not lead to the fix, perform the condition not present diagnosis.

CONDITION NOT PRESENT:

Sometimes the conditions can be duplicated by carefully warming the data line components with a heat gun and/or lightly tapping on them. If the condition cannot be duplicated on the vehicle during diagnosis, follow the procedure below:

1. Make sure that the grounds on the block near the starter solenoid, and on the fender near the battery, are clean and tight. Make certain there are star washers on the stud and that the studs are free of corrosion. Cadillac only: Refer to Corporate Bulletins #718203", for 1986-1987 Eldorados and Sevilles and #016511R", for 1988-1991 Eldorados, Sevilles, DeVilles, and Fleetwoods.

2. On 1986 and 1987 Eldorados and Sevilles, make sure the engine-to-dash harness is not damaged and is secured to the brake booster. Refer to Corporate Bulletin #865203**.

3. Check the BCM EPROM and EEPROM and ECM CALPAK and PROM or MEM-CAL assembly for proper insertion into their respective sockets. Inspect components for bent or damaged legs.

4. Make sure both BCM and ECM have the correct PROM's for that model year.

5. If the source of the intermittent problem has not been found and the intermittent condition persists:

A. Verify good connections at the following components. Check each connection for proper latching and pins seated in the connector.

B. Replace the following components, one at a time, checking for reoccurrence of the intermittent condition after each component replacement. Follow the order listed. The order listed represents most likely to least likely cause of a multiple communications code condition:

Cadillac:

-------- o BCM

o ECM

o BCM EPROM

o ECM CALPAK or MEM-CAL

o IPC

o CCDIC

o Programmer

o Central Power Supply (CPS)

o BCM EEPROM

Oldsmobile:

---------- o ECC Head

o BCM

o Programmer

o ECM

o Central Power Supply (CPS)

o BCM EPROM

o IPC

o Chime Module (on 1986 and 1987 models only)

o ECM CALPAK and EPROM

o BCM EEPROM

Buick:

----- o BCM EPROM

o ECM

o CRTC/ECCP

o Programmer

o IPC

o BCM

o Compass Module

o ECM CALPAK and EPROM

o Central Power Supply (CPS)

o BCM EEPROM

For vehicles repaired under warranty use refer to the Labour Time Guide.

**BULLETIN REFERENCES: --------------------- Corporate Ref. 018112 Corporate Ref. 718203 ---------------------- --------------------- General Motors of Canada 90-8-222 General Motors of Canada 87-8-147 Oldsmobile Division 90-T-195 Cadillac Division T-87-105 Cadillac Division T-90-90

Corporate Ref. 016511R Corporate Ref. 865203 ---------------------- --------------------- General Motors of Canada 93-6E-104 General Motors of Canada N/A Cadillac Division T-92-76 Cadillac Division T-86-35


Object Number: 80909  Size: FS


Object Number: 80908  Size: FS


Object Number: 78550  Size: FS


Object Number: 80907  Size: FS


Object Number: 80906  Size: FS


Object Number: 80905  Size: FS


Object Number: 80904  Size: FS

General Motors bulletins are intended for use by professional technicians, not a "do-it-yourselfer". They are written to inform those technicians of conditions that may occur on some vehicles, or to provide information that could assist in the proper service of a vehicle. Properly trained technicians have the equipment, tools, safety instructions and know-how to do a job properly and safely. If a condition is described, do not assume that the bulletin applies to your vehicle, or that your vehicle will have that condition. See a General Motors dealer servicing your brand of General Motors vehicle for information on whether your vehicle may benefit from the information.