GM Service Manual Online
For 1990-2009 cars only

SMU - SECTION 6E - REVISED DIAGNOSTIC CHARTS

SUBJECT: SIM UPDATE - SECTION 6E DIAGNOSTIC CHARTS FOR DTC - REVISED E13, E44, AND E45 TROUBLE TREES FOR 1992-1993 DE VILLES, FLEETWOODS (FWD), 60 SPECIALS EQUIPPED WITH 4.9L ENGINE AND CODE E013, E017, E042, E043, E044, AND E045 TROUBLE TREES FOR 1992 ELDORADOS AND SEVILLES EQUIPPED WITH 4.9L ENGINE

The attached trouble trees contain revised information which replaces information printed in the 1992-1993 DeVille/Fleetwood/60 Special (FWD) and 1992 Eldorado/Seville Service Information Manuals. The trouble tree facing pages are provided for reference only and contain no revisions.

DIAGNOSTIC TROUBLE CODE E13

OXYGEN SENSOR NOT READY

CIRCUIT DESCRIPTION:

The PCM provides a 0.45 volt reference to the oxygen sensor on CKT 412. When the oxygen sensor warms up it will generate a counter voltage that will vary based on the amount of oxygen in the exhaust. The oxygen sensor is located in the manifold before the catalytic convertor. A lean exhaust will generate a low voltage and cause the .45 reference to move lower. A rich exhaust will generate a high voltage and cause the .45 reference to move higher. If the oxygen sensor can't respond under the test conditions and generate a voltage greater or less than the .45 reference, it will set a Code E13. Possible causes of Code E13 are:

1. Open in CKT 412 or 413.

2. Short to voltage on CKT 412 or 413.

3. Oxygen sensor that cannot respond.

TEST CONDITION(S):

1. Codes E14. E15, E21, E22, E26, and E27 not set.

2. Coolant temperature 58 degrees Celsius or greater.

3. Throttle between 6 degrees and 30 degrees.

4. Throttle switch open.

5. RPM 800 or greater.

FAILURE CONDITION(S):

Oxygen sensor voltage stays between 0.609 volts and 0.307 volts for more than 64 seconds (oxygen sensor voltage not toggling).

ACTION(S) TAKEN:

PCM turns on the 'SERVICE ENGINE SOON' telltale; closed loop operation will be disabled.

NOTES ON FAULT TREE:

1. A voltage of .42 to .48 voltage displayed is a reference from the PCM. The Oxygen Sensor must generate a .15 volts greater than the .45 reference to register a Oxygen Sensor Cross Count in the PCM.

2. The PCM compares voltage on CKT 412 to the ground on CKT 413. It is essential that the oxygen sensor ground and PCM ground on pin E15 are at the same voltage potential with the engine running.

NOTES ON INTERMITTENTS:

If Code E13 is a history code; start engine and enter diagnostics. Operate engine at fast idle until 'AUTO' closed loop status light is turned on. Observe parameter P.1.4 while manipulating CKT 412 and 413 wiring. If parameter P.1.4 stops fluctuating and stays fixed at 0.45 volts, repair intermittent open circuit. Check CKT 413 ground to engine for proper installation (clean, tight, star washer installed). Ground for CKT 413 is attached to the rear of the right hand cylinder head.

DIAGNOSTIC TROUBLE CODE E44

OXYGEN SENSOR SIGNAL LEAN

CIRCUIT DESCRIPTION:

The PCM provides a 0.45 volt reference signal to the oxygen sensor on CKT 412. When the oxygen sensor is cold (below 200 degrees Celsius), the oxygen sensor signal voltage will be around 0.45 volts and the PCM will keep the system in open loop operation. When the oxygen sensor is warm (above 200 degrees Celsius), the oxygen sensor will swing from rich to lean rapidly, at least one swing every two seconds, if the PCM is in good control of the air fuel mixture. Code E44 is designed so that if the oxygen sensor stays at a lean voltage for more than 50 seconds during the test conditions, Code E44 will set. Code E44 will set when: 1. There is an oxygen sensor circuit fault giving a false lean indication or 2. When the air fuel ratio is actually lean due to a vacuum leak or fuel control system fault.

TEST CONDITION(S):

1. Codes E14, E15, E16, E21, E22, E26, E27, E31, E32, and E34 not set.

2. Throttle switch open.

3. TPS between 6 degrees and 30 degrees.

4. Coolant temp 58 degrees Celsius or greater.

5. Oxygen sensor ready.

6. RPM 800 or greater.

7. Canister purge has purged at full duty cycle for 10 minutes since the engine was running with coolant 80 degrees Celsius and TPS 10 degrees or greater.

FAILURE CONDITION(S):

Oxygen sensor remains lean for more than 50 seconds.

ACTION(S) TAKEN:

1. PCM turns on 'SERVICE ENGINE SOON' telltale.

2. PCM enables canister purge.

NOTES ON FAULT TREE:

1. With the oxygen sensor disconnected, parameter P.1.4 should remain at reference voltage (0.38 to 0.63 volts).

2. Checking for sensor circuitry able to record rich readings. The DVM set on volts will supply a very small current source to drive CKT 412 above 0.64 volts (rich). Similar results may be obtained by placing one finger on battery positive and another finger on oxygen sensor CKT 412 harness terminal.

3. The PCM compares oxygen sensor signal voltage received on CKT 412 to the ground voltage on CKT 413. If the ground voltage on CKT 413 is not engine ground (battery negative), the oxygen sensor can appear falsely high or low. With the engine running, use a voltmeter to measure voltage from the oxygen sensor pin A to the PCM terminal E15. If the voltage is greater than -0.05 to +0.05 volts, repair poor ground on CKT 413 between PCM terminal E15 and engine ground.

NOTES ON INTERMITTENTS:

Engine running, manipulate the oxygen sensor and PCM wiring and connectors while observing PCM Data P.1.4. If the fault is induced, P.1.4 will jump below 0.37 volts and the 'ECON' status light will go off. Manipulate CKT 413 ground to the engine and look for a loose ground eyelet or ground eyelet installed at wrong location. Check oxygen sensor connector terminals for signs of corrosion or foreign material. Clean if signs of corrosion are evident. If lean engine operation is suspected, perform the 'PFI System Check' located in Section 6E-A. See Section 6E-B 'Excessive Exhaust Emissions' - NOx. An engine that is misfiring may have a lean oxygen sensor indication because of unburned oxygen in the exhaust stream. See 6E Subsection B to diagnose the miss firing. If the oxygen sensor circuit appears to be 0% go to PFI Chart A-6, 'Oxygen Sensor Diagnosis' to check for faulty or contaminated sensor.

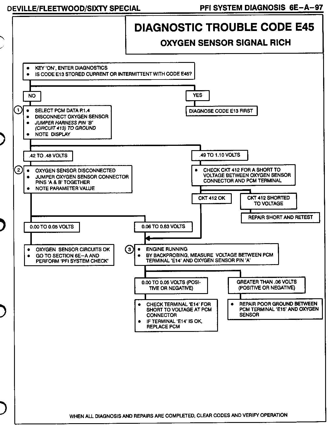
DIAGNOSTIC TROUBLE CODE E45

OXYGEN SENSOR SIGNAL RICH

CIRCUIT DESCRIPTION:

The PCM provides a 0.45 volt reference signal to the oxygen sensor on CKT 412. When the oxygen sensor is cold (below 200 degrees Celsius), the oxygen sensor signal voltage will be around 0.45 volts and the PCM will keep the system in open loop operation. When the oxygen sensor is warm (above 200 degrees Celsius), the oxygen sensor will swing from rich to lean rapidly, at least one swing every two seconds, if the PCM is in good control of the air fuel mixture. Code E45 is designed so that if the oxygen sensor stays at a rich voltage for more than 50 seconds during the test conditions, Code E45 will set.

TEST CONDITION(S):

1. Codes E14, E15, E16, E21, E22, E26, E27, E31, E32, and E34 not set.

2. Throttle switch open.

3. TPS 6 degrees or greater.

4. TPS 30 degrees or less.

5. Coolant temp 58 degrees Celsius or greater.

6. Oxygen sensor ready.

7. RPM 800 or greater.

8. TPS 10 degrees or greater and canister purge has purged at full duty cycle for 10 minutes since the engine was running with coolant 80 degrees Celsius or greater.

FAILURE CONDITION(S):

Oxygen sensor remains rich for more than 50 seconds.

ACTION(S) TAKEN:

1. PCM turns on 'SERVICE ENGINE SOON' telltale.

2. Canister purge is enabled.

Code E45 will set when:

1. There is an oxygen sensor circuit fault giving a false rich indication.

OR

2. When the air fuel ratio is actually lean due to a fuel control or emission system fault.

NOTES ON FAULT TREE:

1. With the oxygen sensor disconnected, parameter P.1.4 should remain at reference voltage (0.38 to 0.63 volts).

2. Checking for sensor circuitry able to record lean readings.

3. The PCM compares oxygen sensor signal voltage received on CKT 412 to the ground voltage on CKT 413. If the ground voltage on CKT 413 is not engine ground (battery negative), the oxygen sensor can appear falsely high or low. With the engine running, use a voltmeter to measure voltage from the oxygen sensor pin A to the PCM terminal E15. If the voltage is greater than -0.05 to +0.05 volts, repair poor ground on CKT 413 between PCM terminal E15 and engine ground.

NOTES ON INTERMITTENTS:

Engine running, manipulate the oxygen sensor and PCM wiring and connectors while observing PCM Data P.1.4. If the fault is induced, P.1.4 will jump above 0.63 volts and the 'ECON' status light will go on. Manipulate CKT 413 ground to the engine and look for a loose ground eyelet or ground eyelet installed at wrong location. Check oxygen sensor connector terminals for signs of corrosion or foreign material. Clean if signs of corrosion are evident. If rich engine operation is suspected, perform 6E-A 'PFI System Check'. See Section 6E-B 'Poor Fuel Economy' and 'Excessive Exhaust Emissions'. If the oxygen sensor circuit appears to be OK, go to PFI Chart A-6, 'Oxygen Sensor Diagnosis' to check for faulty or contaminated sensor.

CODE E013

REAR OXYGEN SENSOR NOT READY

CIRCUIT DESCRIPTION:

The PCM provides a 0.45 volt reference to the oxygen sensor on CKT 412. When the oxygen sensor reaches operating temperature it will generate a counter voltage that will vary based on the amount of oxygen in the exhaust. The rear oxygen sensor is located in the manifold before the catalytic convertor. A lean exhaust will generate a low voltage and cause the .45 reference to move lower. A rich exhaust will generate a high voltage and cause the .45 reference to move higher. If the oxygen sensor can't respond under the test conditions and generate a voltage greater or less than the .45 reference, it will set a code E013. Possible causes of Code E013 are:

1. Open in CKT 412 or 413.

2. Short to voltage on CKT 412 or 413.

3. Oxygen sensor that cannot respond.

TEST CONDITION(S):

1. Codes E014, E015, E021, E022, E026, and E027 not set.

2. Coolant temperature 81.5 degrees Celsius or greater.

3. Throttle angle between 5 and 29.8 degrees.

4. Throttle position switch open.

5. RPM 800 or greater.

FAILURE CONDITION(S):

Oxygen sensor voltage stays between 0.307 volts and 0.609 volts for more than 64 seconds (oxygen sensor voltage not toggling), Code E013 is set.

ACTION TAKEN:

1. PCM turns on the 'SERVICE ENGINE SOON' MIL.

2. PCM enables evaporative emission control solenoid if Code E017 is also set.

3. Closed loop operation disabled.

NOTES ON FAULT TREE:

1. Voltage on PCM data parameter PD33 should fluctuate above 0.6 volts and below 0.3 volts. If voltage remains above 0.6 volts, check CKT 412 for a short to voltage. If voltage remains below 0.3 volts check CKT 412 for a short to ground.

2. Measuring voltage with a voltmeter will isolate a sensor/wiring problem from a PCM problem. If voltage fluctuates above 0.6 volts and below 0.3 volts, the fault is with the PCM. If voltage remains below 0.3 volts, check CKT 412 for a short to ground or CKT 413 for a short to voltage. If voltage remains above 0.6 volts, check CKT 412 for a short to voltage. If voltage remains between 0.3 volts and 0.6 volts, check CKT 412 and CKT 413 for an open.

CODE E017

FRONT OXYGEN SENSOR NOT READY

CIRCUIT DESCRIPTION:

The PCM provides a 0.45 volt reference to the oxygen sensor on CKT 1589. When the oxygen sensor reaches operating temperature it will generate a counter voltage that will vary based on the amount of oxygen in the exhaust. The front Oxygen sensor is located in the manifold just behind the cooling fan. A lean exhaust will generate a low voltage and cause the .45 reference to move lower. A rich exhaust will generate a high voltage and cause the .45 reference to move higher. If the oxygen sensor can't respond under the test conditions and generate a voltage greater or less than the .45 reference, it will set a code E017. Possible causes of Code E017 are:

1. Open in CKT 1589 or 413.

2. Short to voltage on CKT 1589 or 413.

3. Oxygen sensor that cannot respond.

TEST CONDITION(S):

1. Codes E014, E015, E021, E022, E026, and E027 not set.

2. Coolant temperature 81.5 degrees Celsius or greater.

3. Throttle angle between 5 and 29.8 degrees.

4. Throttle position switch open.

5. RPM 800 or greater.

FAILURE CONDITION(S):

Oxygen sensor voltage stays between 0.307 volts and 0.609 volts for more than 64 seconds (oxygen sensor voltage not toggling). Code E017 is set.

ACTION TAKEN:

1. PCM turns ON the 'SERVICE ENGINE SOON' MIL.

2. PCM enables evaporative emission control solenoid if code E013 is also set.

3. Closed loop operation disabled.

NOTES ON FAULT TREE:

1. Voltage on PCM data parameter PD32 should fluctuate above 0.6 volts and below 0.3 volts. If voltage remains above 0.6 volts, check CKT 412 for a short to voltage. If voltage remains below 0.3 volts, check CKT 412 for a short to ground.

2. Measuring voltage with a voltmeter will isolate a sensor/wiring problem from a PCM problem. If voltage fluctuates above 0.6 volts and below 0.3 volts, the fault is with the PCM. If voltage remains below 0.3 volts, check CKT 412 for a short to ground or CKT 413 for a short to voltage. If voltage remains above 0.6 volts, check CKT 412 for a short to voltage. If voltage remains between 0.3 volts and 0.6 volts, check CKT 412 and CKT 413 for an open.

CODE E042

FRONT OXYGEN SENSOR SIGNAL LEAN

CIRCUIT DESCRIPTION:

The PCM provides a 0.45 volt reference signal to the oxygen sensor on CKT 1589. When the oxygen sensor is cold (below 200 degrees Celsius), the oxygen sensor signal voltage will be around 0.45 volts and the PCM will keep the system in open loop operation. When the oxygen sensor is warm (above 200 degrees Celsius), the oxygen sensor will swing from rich to lean rapidly, at least one swing every two seconds, if the PCM is in good control of the air fuel mixture. Code E042 is designed so that if the oxygen sensor stays at a lean voltage for more than 50.3 seconds during the test conditions, Code E042 will set. Code E042 will set when:

1. There is an oxygen sensor circuit fault giving a false lean indication.

OR

2. When the air fuel ratio is actually lean due to a vacuum leak or fuel control system fault.

TEST CONDITION(S):

1. Codes E014, E015, E016, E021, E022, E026, E027, E031, E032, and E034 not set.

2. Throttle position switch open.

3. TP sensor between 5 degrees and 29.8 degrees.

4. Engine coolant temperature between 81.5 degrees Celsius and 131 degrees Celsius.

5. Oxygen sensor ready.

6. RPM 800 or greater.

7. MAP 95 kPa or greater.

8. EEC System has purged at full duty cycle for 2 minutes with the engine running TP sensor 10 degrees or greater.

FAILURE CONDITION(S):

Oxygen sensor remains lean (356 mV (0.365V) or less) for more than 50.3 seconds.

ACTION TAKEN:

1. PCM turns on 'SERVICE ENGINE SOON' MIL.

2. PCM enables evaporative emission control solenoid if Code E044 is also set.

NOTES ON FAULT TREE:

1. If Code E017 is also set, diagnose it first because an Oxygen Sensor not ready can cause other emission related problems.

2. If the Oxygen Sensor is operating correctly, voltage will fluctuate above 0.3 volt. A lean sensor/condition will cause the voltage to remain below 0.3 volt.

3. If greater than 0.15 volt is measured, the PCM and CKT 1589 are OK.

CODE E043

FRONT OXYGEN SENSOR SIGNAL RICH

CIRCUIT DESCRIPTION:

The PCM provides a 0.45 volt reference signal to the oxygen sensor on CKT 1589. When the oxygen sensor is cold (below 200 Degrees Celsius), the oxygen sensor signal voltage will be around 0.45 volts and the PCM will keep the system in open loop operation. When the oxygen sensor is warm (above 200 degrees Celsius), the oxygen sensor will swing from rich to lean rapidly, at least one swing every two seconds, if the PCM is in good control of the air fuel mixture. Code E043 is designed so that if the oxygen sensor stays at a rich voltage for more than 50.3 seconds during the test conditions,, Code E043 will set. Code E043 will set when:

1. There is an oxygen sensor circuit fault giving a false rich indication.

OR

2. When the air fuel ratio is actually rich due to a fuel control or emission system fault.

TEST CONDITION(S):

1. Codes E014, E015, E016, E021, E022, E026, E027, E031, E032, and E034 not set.

2. Throttle position switch open.

3. TPS between 5 degrees and 29.8 degrees.

4. Engine coolant temperature between 81.5 degrees Celsius and 131 degrees Celsius.

5. Oxygen sensor ready.

6. Engine speed 800 rpm or greater.

7. MAP 95 kPa or greater.

8. EEC System has purged at full duty cycle for 2 minutes with the engine running and TP Sensor 10 degrees or greater.

FAILURE CONDITION(S):

Oxygen sensor remains rich (534 mV (0.534 V) or greater) for more than 50.3 seconds.

ACTION TAKEN:

1. PCM turns on 'SERVICE ENGINE SOON' MIL.

2. PCM enables evaporative emission control solenoid if Code E045 is also set.

NOTES ON FAULT TREE:

1. If Code E017 is also set, diagnose it first because an Oxygen Sensor not ready can cause other emission related problems.

2. If the Oxygen Sensor is operating correctly, voltage will fluctuate below 0.6 volt. A rich sensor/condition will cause the voltage to remain above 0.6 volt.

3. If less than 0.95 volt is measured, the PCM and CKT 1589 are OK.

CODE E044

REAR OXYGEN SENSOR SIGNAL LEAN

CIRCUIT DESCRIPTION:

The PCM provides a 0.45 volt reference signal to the oxygen sensor on CKT 412. When the oxygen sensor is cold (below 200 degrees Celsius), the oxygen sensor signal voltage will be around 0.45 volts and the PCM will keep the system in open loop operation. When the oxygen sensor is warm (above 200 degrees Celsius), the oxygen sensor will swing from rich to lean rapidly, at least one swing every two seconds, if the PCM is in good control of the air fuel mixture. Code E044 is designed so that if the oxygen sensor stays at a lean voltage for more than 50.3 seconds during the test conditions, Code E044 will set. Code E044 will set when:

1. There is an oxygen sensor circuit fault giving a false lean indication.

OR

2. When the air fuel ratio is actually lean due to a vacuum leak or fuel control system fault.

TEST CONDITION(S):

1. Codes E014, E015, E016, E021, E022, E026, E027, E031, E032, and E034 not set.

2. Throttle position switch open.

3. TP Sensor between 5 and 29.8 degrees.

4. Coolant temperature between 81.5 Degrees Celsius and 131 degrees Celsius.

5 . Oxygen sensor ready.

6. Engine speed 800 rpm or greater.

7. MAP 95 kPa or greater.

8. EEC System has purged at full duty cycle for 2 minutes with the engine running and TP Sensor 10 degrees or greater.

FAILURE CONDITION(S):

Oxygen sensor remains lean (356 mV (0.356 V) or less) for more than 50.3 seconds.

ACTION TAKEN:

1. PCM turns on 'SERVICE ENGINE SOON' MIL.

2. PCM enables evaporative emission control solenoid if Code E042 is also set.

NOTES ON FAULT TREE:

1. If Code E013 is also set, diagnose it first because an Oxygen Sensor not ready can cause other emission related problems.

2. If the Oxygen Sensor is operating correctly, voltage will fluctuate above 0.3 volt. A lean sensor/condition will cause the voltage to remain below 0.3 volt.

3. If greater than 0.15 volt is measured, the PCM and CKT 412 are OK.

CODE E045

REAR OXYGEN SENSOR SIGNAL RICH

CIRCUIT DESCRIPTION:

The PCM provides a 0.45 volt reference signal to the oxygen sensor on CKT 412. When the oxygen sensor is cold (below 200 degrees Celsius), the oxygen sensor signal voltage will be around 0.45 volts and the PCM will keep the system in open loop operation. When the oxygen sensor is warm (above 200 degrees Celsius), the oxygen sensor will swing from rich to lean rapidly, at least one swing every two seconds, if the PCM is in good control of the air fuel mixture. Code E045 is designed so that if the oxygen sensor stays at a rich voltage for more than 50.3 seconds during the test conditions, Code E045 will set. Code E045 will set when:

1. There is an oxygen sensor circuit fault giving a false rich indication.

OR

2. When the air fuel ratio is actually rich due to a fuel control or emission system fault.

TEST CONDITION(S):

1. Codes E014, E015, E016, E021, E022, E026, E027, E031, E032, and E034 not set.

2. Throttle position switch open.

3. TP Sensor between 5 and 29.8 degrees.

4. Engine coolant temperature between 81.5 degrees Celsius and 131 degrees Celsius.

5. Oxygen sensor ready.

6. Engine speed 800 rpm or greater.

7. MAP 95 kPa or greater.

8. EEC System has purged at full duty cycle for 2 minutes with the engine running and TP Sensor 10 degrees or greater.

FAILURE CONDITION(S):

Oxygen sensor remains rich (534 mV (0.534 V) or greater) for more than 50.3 seconds.

ACTION TAKEN:

1. PCM turns on 'SERVICE ENGINE SOON' MIL.

2. PCM enables evaporative emission control solenoid if Code E043 is also set.

NOTES ON FAULT TREE:

1. If Code E013 is also set, diagnose it first because an Oxygen Sensor not ready can cause other emission related problems.

2. If the Oxygen Sensor is operating correctly, voltage will fluctuate below 0.6 volt. A rich sensor/condition will cause the voltage to remain above 0.6 volt.

3. If less than 0.95 volt is measured, the PCM and CKT 412 are OK.


Object Number: 79946  Size: FS


Object Number: 77877  Size: FS


Object Number: 77876  Size: FS


Object Number: 77241  Size: FS


Object Number: 77875  Size: FS


Object Number: 77874  Size: FS


Object Number: 79945  Size: FS


Object Number: 79944  Size: FS


Object Number: 77873  Size: FS


Object Number: 78834  Size: FS


Object Number: 77872  Size: FS


Object Number: 81255  Size: FS


Object Number: 77871  Size: FS


Object Number: 78833  Size: FS


Object Number: 79943  Size: FS


Object Number: 78832  Size: FS


Object Number: 79942  Size: FS


Object Number: 83152  Size: FS

General Motors bulletins are intended for use by professional technicians, not a "do-it-yourselfer". They are written to inform those technicians of conditions that may occur on some vehicles, or to provide information that could assist in the proper service of a vehicle. Properly trained technicians have the equipment, tools, safety instructions and know-how to do a job properly and safely. If a condition is described, do not assume that the bulletin applies to your vehicle, or that your vehicle will have that condition. See a General Motors dealer servicing your brand of General Motors vehicle for information on whether your vehicle may benefit from the information.