GM Service Manual Online
For 1990-2009 cars only

SERVICE MANUAL UPDATE SEC.1C REV. CONNECTOR/TERMINAL CHART

SUBJECT: SERVICE INFORMATION MANUAL UPDATE-SECTION 1C-REVISED ECM CONNECTOR AND TERMINAL IDENTIFICATION IN DIAGNOSTIC CHART ON 1990 DE VILLES AND FLEETWOODS

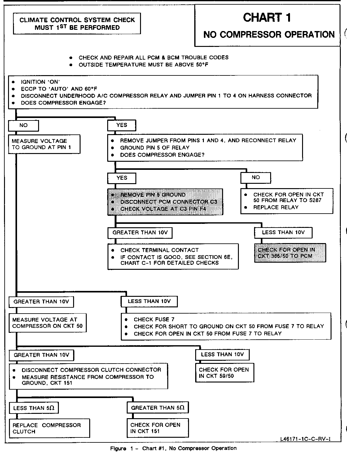
The attached figures show revised diagnostic procedures for "No Compressor Operation" and "Improper Blower Speed". These charts supersede the existing procedures found on page 1C-12, Chart 1 - No Compressor Operation and 1C-14, Chart 3 - Improper Blower Speed. Service Information Manuals should be updated accordingly.


Object Number: 79790  Size: FS


Object Number: 79789  Size: FS

General Motors bulletins are intended for use by professional technicians, not a "do-it-yourselfer". They are written to inform those technicians of conditions that may occur on some vehicles, or to provide information that could assist in the proper service of a vehicle. Properly trained technicians have the equipment, tools, safety instructions and know-how to do a job properly and safely. If a condition is described, do not assume that the bulletin applies to your vehicle, or that your vehicle will have that condition. See a General Motors dealer servicing your brand of General Motors vehicle for information on whether your vehicle may benefit from the information.