GM Service Manual Online
For 1990-2009 cars only

SERVICE MANUAL UPDATE-SEC. 5E1 REV. DIAG. CHART FOR CODES 41

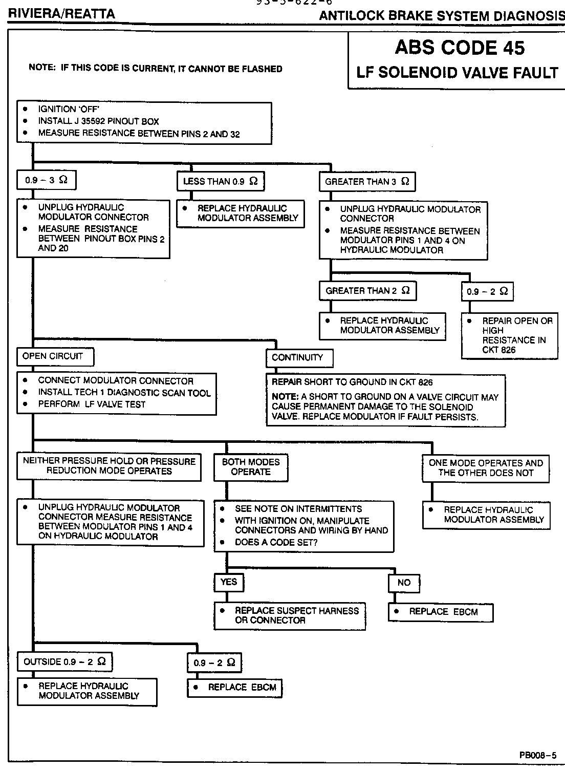
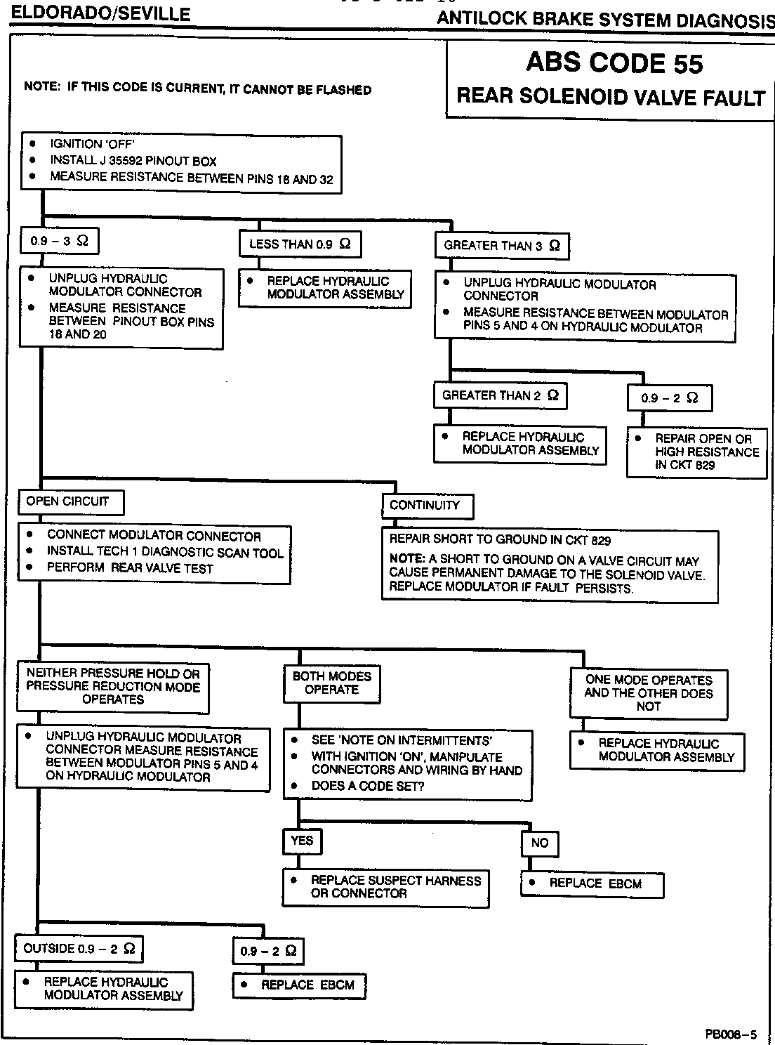
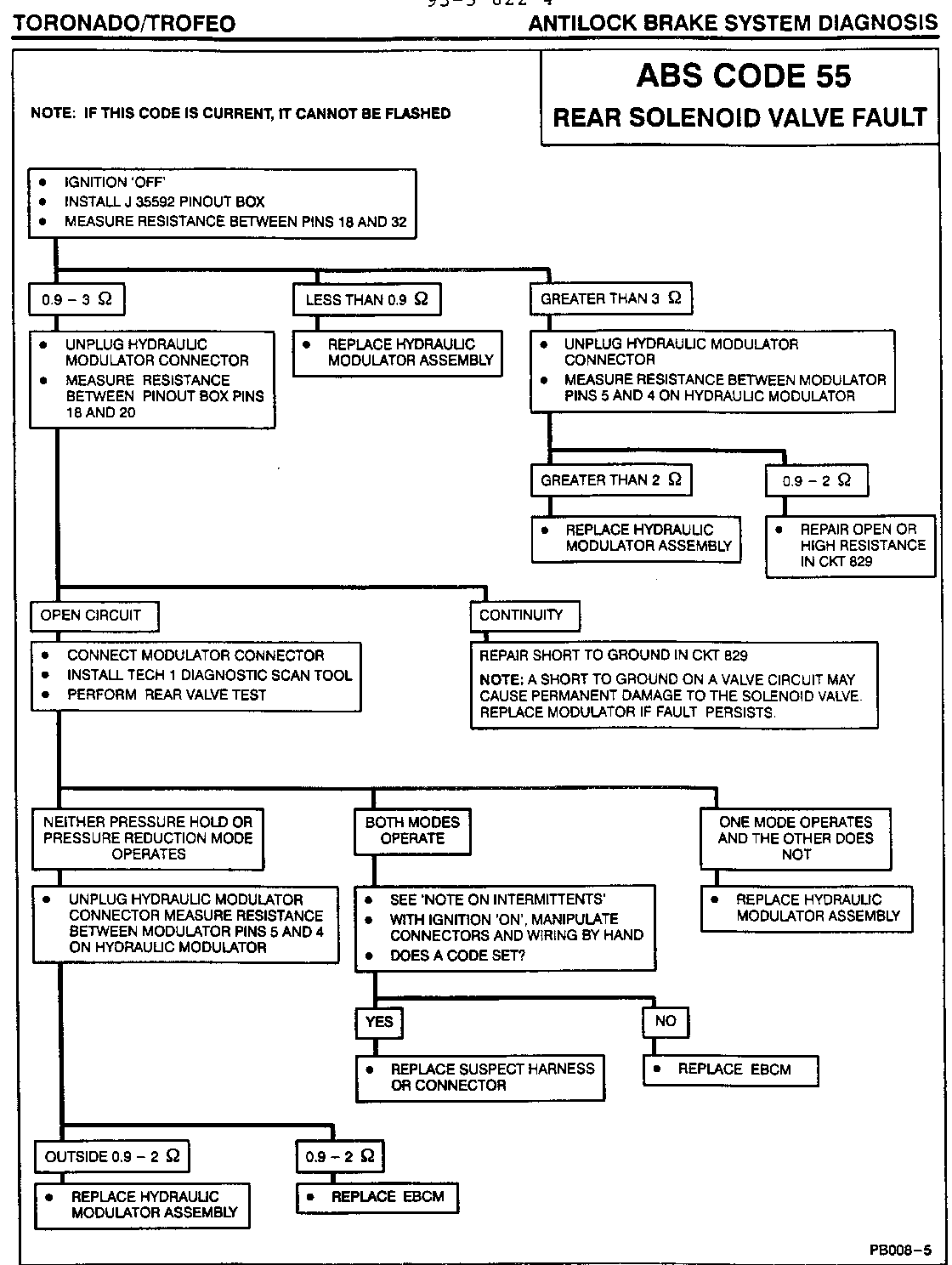
SUBJECT: SERVICE MANUAL UPDATE - SECTION 5E1 - REVISED DIAGNOSTIC CHART FOR CODES 41, 45, 55

VEHICLES AFFECTED: 1991-92 "E" AND 1991 "K" MODELS

This bulletin includes revisions to the ABS diagnostic trouble trees for trouble codes 41, 45, and 55 (right front, left front, and rear solenoid valve fault) published in Section 5El of the 1991-1992 Toronado/Trofeo, 1991-1992 Riviera/Reatta, and 1991 Eldorado/Seville Service Information Manuals.


Object Number: 81235  Size: FS


Object Number: 81234  Size: FS


Object Number: 81233  Size: FS


Object Number: 75064  Size: FS


Object Number: 75753  Size: FS


Object Number: 76297  Size: FS


Object Number: 76837  Size: FS


Object Number: 77320  Size: FS


Object Number: 78527  Size: FS

General Motors bulletins are intended for use by professional technicians, not a "do-it-yourselfer". They are written to inform those technicians of conditions that may occur on some vehicles, or to provide information that could assist in the proper service of a vehicle. Properly trained technicians have the equipment, tools, safety instructions and know-how to do a job properly and safely. If a condition is described, do not assume that the bulletin applies to your vehicle, or that your vehicle will have that condition. See a General Motors dealer servicing your brand of General Motors vehicle for information on whether your vehicle may benefit from the information.