GM Service Manual Online
For 1990-2009 cars only

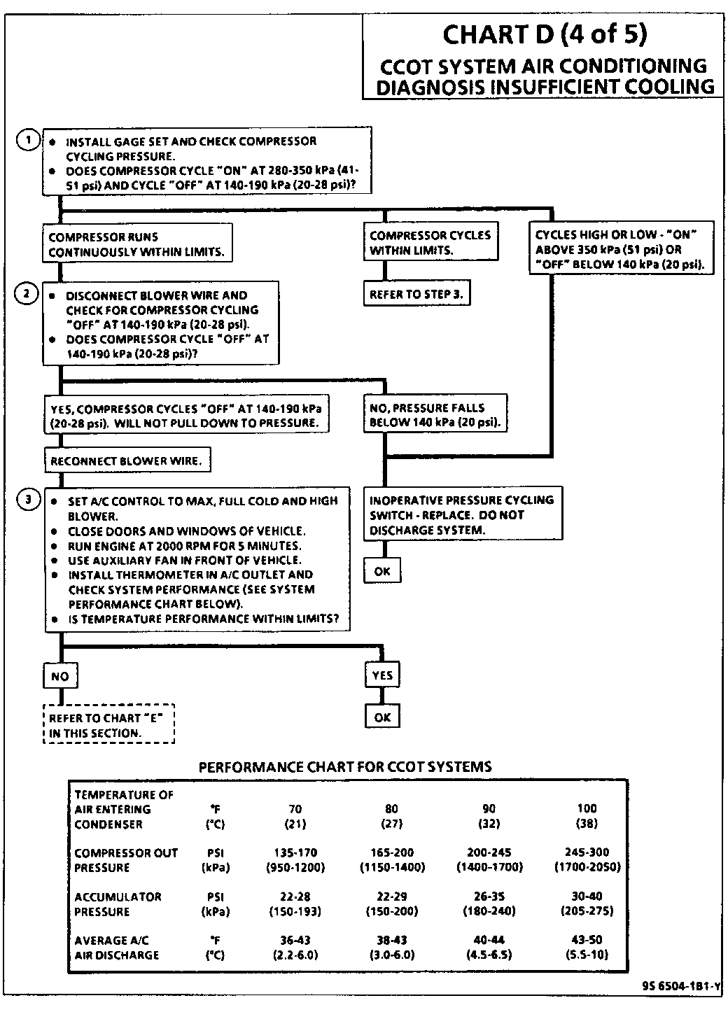
SERVICE MANUAL UPDATE SEC 1B GENERAL AIR CONDITIONING

SUBJECT: GENERAL AIR CONDITIONING INSUFFICIENT COOLING CHART

MODEL and YEAR: 1992 CORVETTE

SERVICE UPDATE

THE INSUFFICIENT COOLING CHART "D" FOUND IN SECTION 1 B, PAGE 10 OF THE 1992 "Y" CARLINE SERVICE MANUAL HAS BEEN REVISED AND SHOULD BE SUBSTITUTED WITH THE ATTACHED CHART.


Object Number: 85870  Size: FS

General Motors bulletins are intended for use by professional technicians, not a "do-it-yourselfer". They are written to inform those technicians of conditions that may occur on some vehicles, or to provide information that could assist in the proper service of a vehicle. Properly trained technicians have the equipment, tools, safety instructions and know-how to do a job properly and safely. If a condition is described, do not assume that the bulletin applies to your vehicle, or that your vehicle will have that condition. See a General Motors dealer servicing your brand of General Motors vehicle for information on whether your vehicle may benefit from the information.