GM Service Manual Online
For 1990-2009 cars only

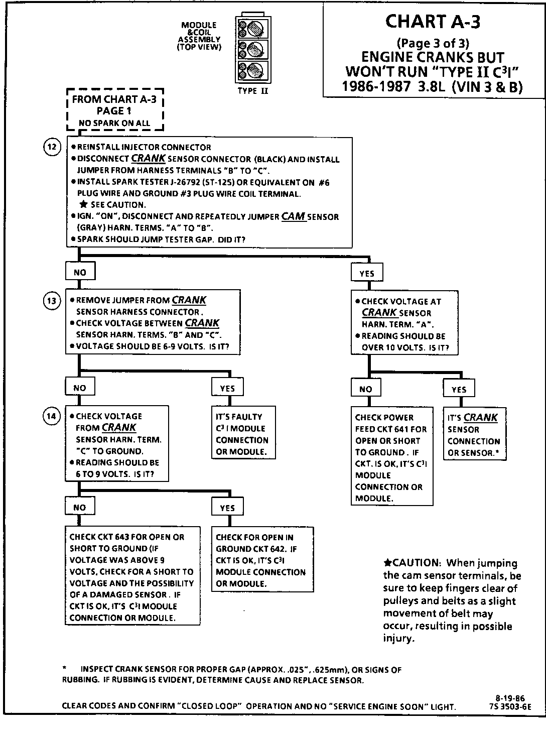
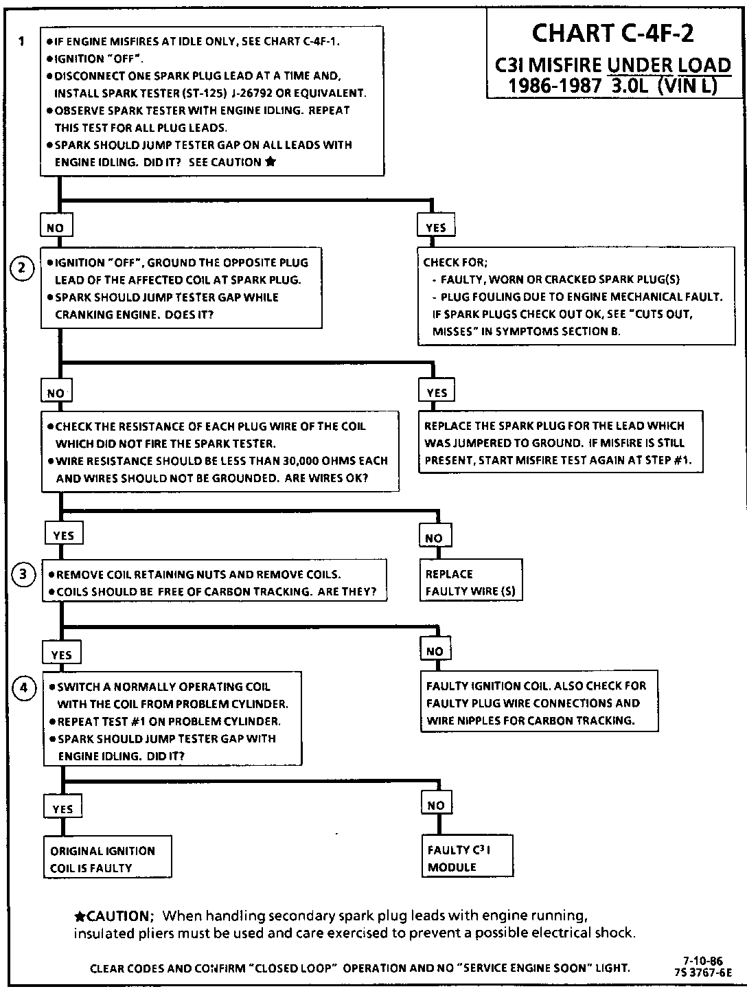
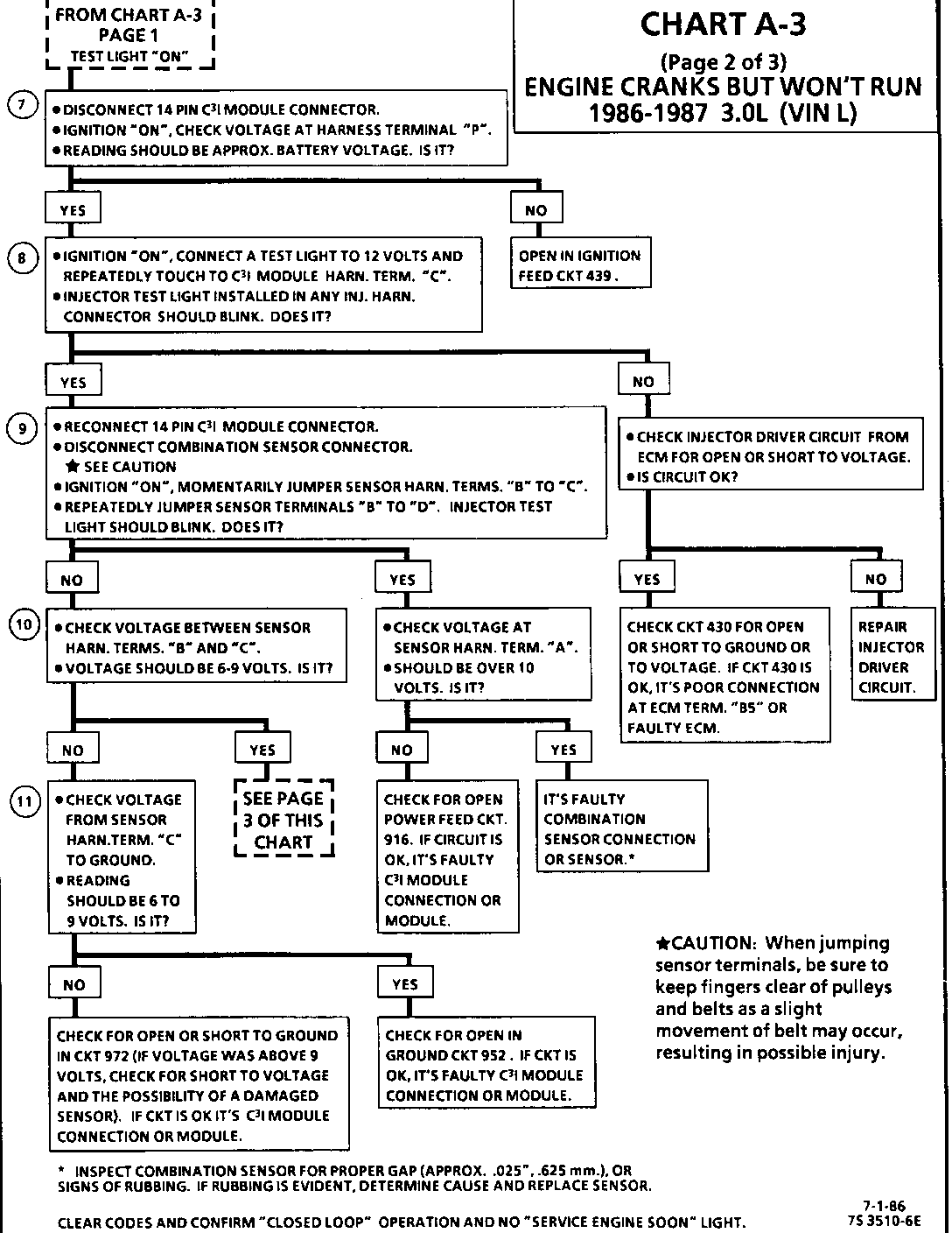
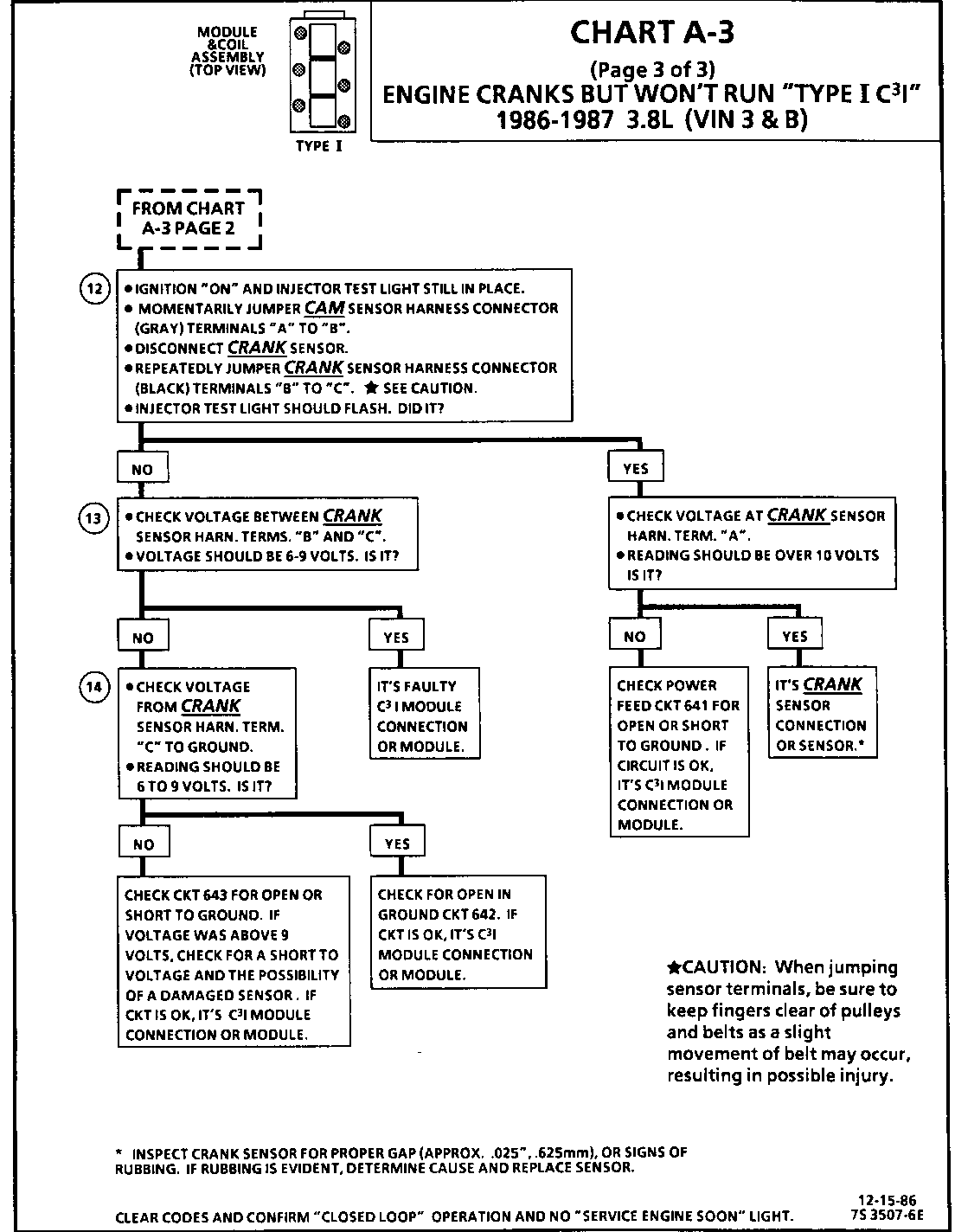
SERVICE MANUAL REVISION CHART A-3, ENGINE CRANKS BUT

SUBJECT: SERVICE MANUAL REVISION - CHART A-3, "ENGINE CRANKS BUT WON'T RUN" CHART C-4, "MISFIRE DIAGNOSIS"

MODELS/YEARS: 1986-87 CALAIS, CUTLASS CIERA, DELTA 88 AND NINETY-EIGHT MODELS EQUIPPED WITH 3.8L (VIN 3 AND B), OR 3.OL (VIN L), ENGINES

These revisions are presented to clarify the diagnostic procedure for the C31 ignition system. These charts supercede the A-3 charts and C-4 charts in Section 6E3 of the 1986 and 1987 Chassis Service Manuals (Vol. 1). Also these charts replace any previous charts published in Service Guilds or Bulletins for the engines listed above.


Object Number: 76958  Size: FS


Object Number: 79517  Size: FS


Object Number: 78315  Size: FS


Object Number: 81980  Size: FS


Object Number: 78314  Size: FS


Object Number: 81979  Size: FS


Object Number: 77527  Size: FS


Object Number: 77526  Size: FS


Object Number: 77525  Size: FS


Object Number: 80761  Size: FS


Object Number: 77524  Size: FS


Object Number: 80760  Size: FS


Object Number: 78313  Size: FS


Object Number: 83762  Size: FS


Object Number: 78312  Size: FS


Object Number: 81978  Size: FS


Object Number: 78311  Size: FS


Object Number: 81977  Size: FS


Object Number: 77523  Size: FS


Object Number: 81976  Size: FS


Object Number: 78310  Size: FS


Object Number: 81975  Size: FS


Object Number: 78309  Size: FS


Object Number: 80759  Size: FS


Object Number: 79516  Size: FS


Object Number: 80758  Size: FS

General Motors bulletins are intended for use by professional technicians, not a "do-it-yourselfer". They are written to inform those technicians of conditions that may occur on some vehicles, or to provide information that could assist in the proper service of a vehicle. Properly trained technicians have the equipment, tools, safety instructions and know-how to do a job properly and safely. If a condition is described, do not assume that the bulletin applies to your vehicle, or that your vehicle will have that condition. See a General Motors dealer servicing your brand of General Motors vehicle for information on whether your vehicle may benefit from the information.