THIS BULLETIN CONTAINS REVISIONS AND ADDITIONS TO SECTION 8A-82 TO COVER ELECTRICAL DIAGNOSIS. A MORE DETAILED SCHEMATIC AND ELECTRICAL DIAGNOSIS FOR THE PRND321 INPUT CIRCUITS TO THE INSTRUMENT PANEL CLUSTER (IPC) ARE INCLUDED IN THESE ADDITIONS.
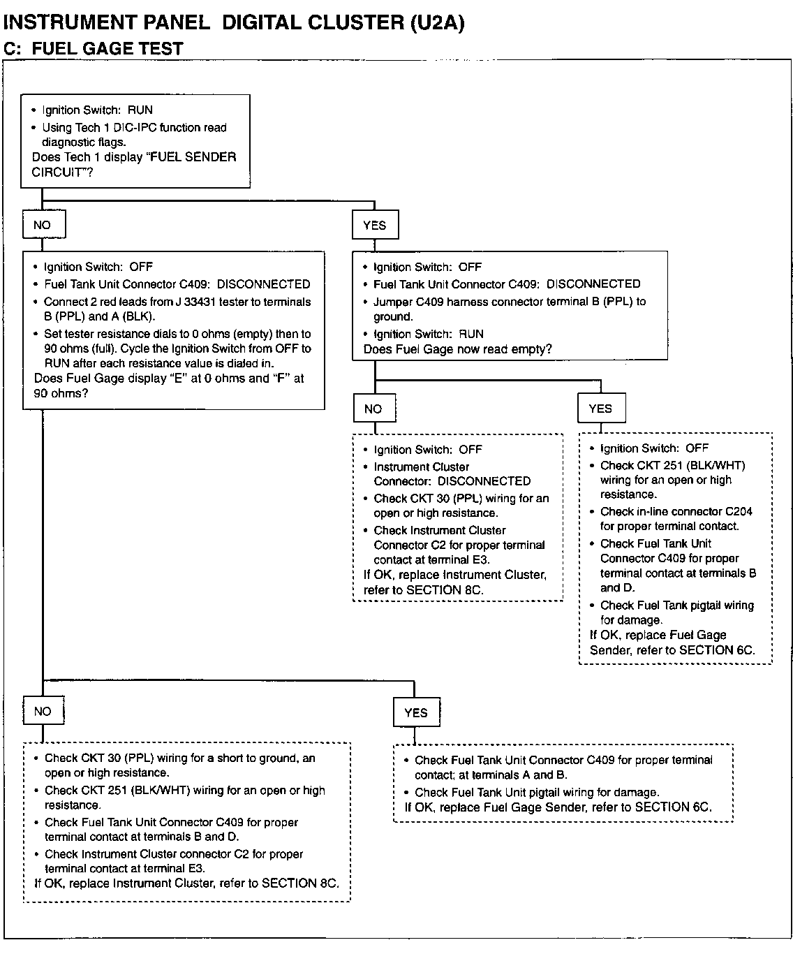
THE DIAGNOSTIC TROUBLE CODE (DTC) TABLE WAS UPDATED TO PROVIDE BETTER DIRECTION IN DETERMINING THE PROPER TEST TO PERFORM FOR EACH FAILURE ASSOCIATED WITH A DTC.
IN ADDITION, DIAGNOSTIC TESTS ARE INCLUDED FOR DIC MESSAGES, OIL LEVEL SYSTEM PROBLEM AND COOLANT LEVEL SYSTEM PROBLEM.
THE FOLLOWING PAGES ARE REVISIONS AND ADDITIONS TO THE SERVICE MANUAL, (SEE ATTACHMENTS).
8A-82-6 REVISION 8A-82-9 REVISION 8A-82-10A ADDITION 8A-82-11 REVISION 8A-82-13A REPLACES DIAGNOSTIC TROUBLE CODE TABLE ON PAGE 8A-82-13 8A-82-15 REVISION 8A-82-18 REVISION 8A-82-26A ADDITION 8A-82-26B ADDITION 8A-82-26C ADDITION 8A-82-26D ADDITION
FIGURES: 0 ATTACHMENTS: 11
GENERAL MOTORS BULLETINS ARE INTENDED FOR USE BY PROFESSIONAL TECHNICIANS, NOT A "DO-IT-YOURSELFER". THEY ARE WRITTEN TO INFORM THOSE TECHNICIANS OF CONDITIONS THAT MAY OCCUR ON SOME VEHICLES, OR TO PROVIDE INFORMATION THAT COULD ASSIST IN THE PROPER SERVICE OF A VEHICLE. PROPERLY TRAINED TECHNICIANS HAVE THE EQUIPMENT, TOOLS, SAFETY INSTRUCTIONS AND KNOW-HOW TO DO A JOB PROPERLY AND SAFELY. IF A CONDITION IS DESCRIBED, DO NOT ASSUME THAT THE BULLETIN APPLIES TO YOUR VEHICLE, OR THAT YOUR VEHICLE WILL HAVE THAT CONDITION. SEE A GENERAL MOTORS DEALER SERVICING YOUR BRAND OF GENERAL MOTORS VEHICLE FOR INFORMATION ON WHETHER YOUR VEHICLE MAY BENEFIT FROM THE INFORMATION.
COPYRIGHT 1994 GENERAL MOTORS CORPORATION. ALL RIGHTS RESERVED.