The following pages and charts have been updated from what was published in the 1986 and 1987 Toronado Chassis Service Manual.
1. The "Panel Dimming Switch" information on pages 8D2-22 and diagnostic chart on page 8D2-23.
2. The "PRNDL Circuit" information on page 8D2-28 and diagnostic chart on page 8D2-29.
3. The "Loss of Chime/Voice Serial Data" information on page 8D2-40 and diagnostic chart on page 8D2-41.
Please update your 1986 and 1987 Toronado Chassis Service Manuals with these revised pages.
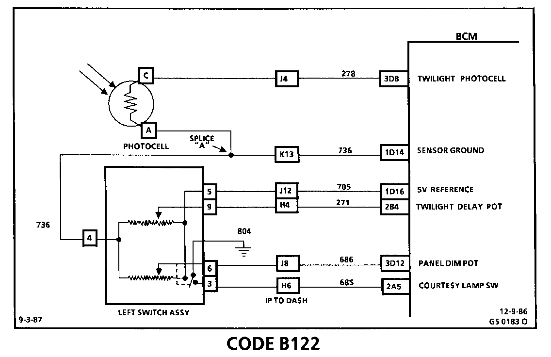
CODE B122 PANEL DIMMING SWITCH POT CIRCUIT
The panel dimmer uses a potentiometer to control the signal voltage to the BCM. The BCM supplies voltage on CKT 705 to the resistor in the left switch assembly and a ground on CKT 736. The wiper provides the voltage signal to the BCM on CKT 686 indicating position of the slider and dim level. When the slider is moved toward the max. Dosition (bright), the voltage signal at BCM terminal 3D12 decreases. As the slider is moved toward the min. position (dim) the voltage signal at the BCM increases. BD42 displays a low % for dim and a high % for bright panel illumination.
Code B122 will set if the ignition is "ON" and the signal voltage indicates less than 2% (high voltage) or over 98% (low voltage). During the time the failure is present a substitute dimming value will be implemented to allow continued operation of interior lighting. The reading from the potentiometer, BD42 however, will display the actual reading.
The following numbered steps correspond with the step numbers on the diagnostic chart.
1. BCM data value displays the amount of panel dimming. The normal range is from 2 to 98%.
2. If the open or grounded circuit reading changes to a short to voltage reading after jumpering the switch assembly terminals, the BCM and wiring are 0 K.
3. Measuring voltage between CKT 705 (5 volts) and CKT 736 determines if 5 volt reference is available at the switch.
4. This step determines if 5 volt reference is available at BCM terminal 1 D 16.
5. If a short to voltage reading changes to an open circuit reading after disconnecting the switch assembly, the BCM and wiring are OK.
Note On Intermittents
If an intermittent Code B122 is being set, manipulate the related wiring while observing BCM data parameter BD42. If the failure is induced, the reading will jump from its normal value to a reading outside the range of 2 to 98%.
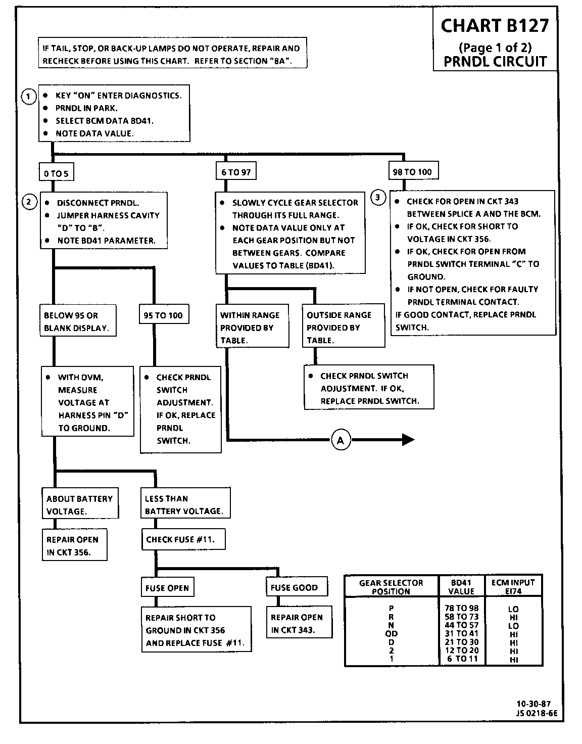
CODE B127 (Page I of 2) PRNDL CIRCUIT
The PRNDL (gear se lector) switch is mounted on the transaxle assembly. It is a multi-signal switch sending information relative to gear selector position to the BCM and ECM. The PRNDL position sensor portion of the switch operates as a potentiometer. The BCM provides PRNDL reference voltage (B+) to the sensor on CKT 343 and a ground on CKT 736. The wiper sends gear selector position to the BCM as a voltage signal on CKT 356. To reduce variation from system voltage fluctuation, the signal is calculated as a % of reference voltage. The switch also provides P/N input to the ECM, reverse input to the BCM and back-up lamps, and acts as a P/N start switch.
Code B127 will set if signal% is above or below normal range, or if gear position inputs conflict.
Code B127 causes include:
- CKT's 343, 350, 356, 434 or 736 are open or grounded. - Faulty terminal contacts on any of the above circuits. - Faulty switch adjustment or switch. - Sensor signal % does not indicate "R" when reverse input is high. - Sensor signal % does not indicate "P/N" when crank input is high. - Sensor signal % does not agree with "PIN" input to ECM on CKT 434.
Test Description: The following numbered steps correspond with the step numbers on the diagnostic chart.
1. Checks BD41 value to determine if PRNDL is within range or outside the range of normal values which are shown on the code chart.
2. With a low BD41 value, fault could be a misadjusted PRNDL switch, as well as an open or ground in CKT 343 or 356.
3. A high value indicates an open in ground side of the PRNDL circuit. The open could be in the switch or in CKT 736 up to its splice with the other sensors.
Notes on Intermittents
If the gear selector is stopped between gears the code could set. Check linkage for binding and adjustment. Also manipulate related wiring. Check for proper terminal contact at BCM IC13 and 2B3 if equipped with illuminated PRNDL in IPC. If good contacts and B127 continue to set, replace BCM.
CODE B127 (Page 2 of 2) PRNDL CIRCUIT
The PRNDL (gear selector) switch is mounted on the transaxle assembly. It is a multi-signal switch sending information relative to gear selector position to the BCM and ECM. The PRNDL position sensor portion of the switch operates as a potentiometer. The BCM provides PRNDL reference voltage (B +) to the sensor on CKT 343 and a ground on CKT 736. The wiper sends gear selector position to the BCM as a voltage signal on CKT 356. To reduce variation from system voltage fluctuation, the signal is calculated as a % of reference voltage. The switch also provides P/N input to the ECM, reverse input to the BCM and back-up lamps, and acts as a P/N start switch.
Code B127 will set if signal% is above or below normal range, or if gear position inputs conflict.
Code B127 causes include:
- CKT's 343, 350, 356, 434 or 736 are open or grounded. - Faulty terminal contacts on any of the above circuits. - Faulty switch adjustment or switch. - Sensor signal % does not indicate "R" when reverse input is high. - Sensor signal % does not indicate "P/N" when crank input is high. - Sensor signal % does not agree with "P/N" input to EC M on CKT 434.
Test Description: The following numbered steps correspond with the step numbers on the diagnostic chart.
1. This step checks the PRNDL "P/N" input to the ECM in each gear range.
2. This step checks the PRNDL reverse input to the BCM in each gear range.
3. This step checks the PRNDL "P/N" crank input to the BCM.
Notes on Intermittents
If the gear selector is stopped between gears the code could set. Check linkage for binding and adjustment. Also manipulate related wiring. Check for proper terminal contact at BCM 1C13 and 2B3 if equipped with illuminated PRNDL in IPC. If good contacts, and B127 continues to set replace BCM.
If code sets only with lights "ON," check for voltage back feed on Backup lights circuit to BCM terminal 1C13. Refer to section "8A" for circuit details.
CODE B338 LOSS OF CHIME/VOICE SERIAL DATA
This code will only occur if the vehicle is equipped with the optional Voice Module. If the vehicle is not equipped with a Voice Module and the code sets, replace the EE PROM.
The code will set if the Voice Module loses +12 volts or ground, or there is a double open in the 800 CKT. An open CKT 553 will also cause the code to set, as this circuit is used by the voice module to signal the BCM that it has received and responded to a command. All terminal contacts should be checked prior to replacing any parts.
The following numbered steps correspond with the step numbers on the diagnostic chart.
1. Step checks for power and ground source up to the module. The test light should be "ON" for both terminals.
2. Checks for + 7 volts up to the module.
3. If all power and ground sources are good, faulty terminal contacts should be checked prior to part replacement. The C/V module can only receive serial data and uses CKT 553 to respond to the BCM.
4. It is assumed that both ground circuits would not be open, so fault must be loss of + 12 volts.
General Motors bulletins are intended for use by professional technicians, not a "do-it-yourselfer". They are written to inform those technicians of conditions that may occur on some vehicles, or to provide information that could assist in the proper service of a vehicle. Properly trained technicians have the equipment, tools, safety instructions and know-how to do a job properly and safely. If a condition is described, do not assume that the bulletin applies to your vehicle, or that your vehicle will have that condition. See a General Motors dealer servicing your brand of General Motors vehicle for information on whether your vehicle may benefit from the information.