GM Service Manual Online
For 1990-2009 cars only

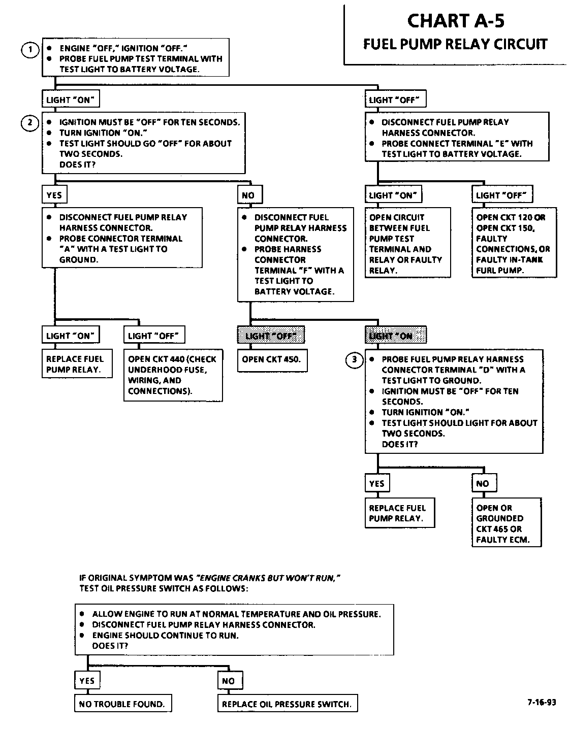
SERVICE MANUAL UPDATE-SEC. 6E2 REVISED CHART A-5

Subject: SERVICE MANUAL UPDATE - SECTION 6E2 REVISED CHART A-5

Models Affected: 1989-91 6000 MODELS WITH 2.5L ENGINE (VIN R - RPO LR8)

This bulletin updates Section 6E2 for the 1989-91 Pontiac 6000 service manual. The updated A-5 Chart represents a change in diagnosing the fuel pump relay circuit.


Object Number: 79913  Size: FS

General Motors bulletins are intended for use by professional technicians, not a "do-it-yourselfer". They are written to inform those technicians of conditions that may occur on some vehicles, or to provide information that could assist in the proper service of a vehicle. Properly trained technicians have the equipment, tools, safety instructions and know-how to do a job properly and safely. If a condition is described, do not assume that the bulletin applies to your vehicle, or that your vehicle will have that condition. See a General Motors dealer servicing your brand of General Motors vehicle for information on whether your vehicle may benefit from the information.