GM Service Manual Online
For 1990-2009 cars only

SMU - SECTIONS 8A-81 - REVISED INSTRUMENT CLUSTER SECTION

SUBJECT: SERVICE MANUAL UPDATE - SECTION 8A-81 - REVISED INSTRUMENT CLUSTER SECTION TO INCLUDE ODOMETER DIAGNOSTICS AND CIRCUIT DESCRIPTION

MODELS: 1997 CHEVROLET CAMARO 1997 PONTIAC FIREBIRD

THIS BULLETIN IS BEING ISSUED TO REVISE THE INSTRUMENT CLUSTER SECTION TO INCLUDE ODOMETER DIAGNOSTICS AND CIRCUIT DESCRIPTION IN SECTION 8A-81 OF THE 1997 CAMARO/FIREBIRD SERVICE MANUAL (GMP/97-F-2).

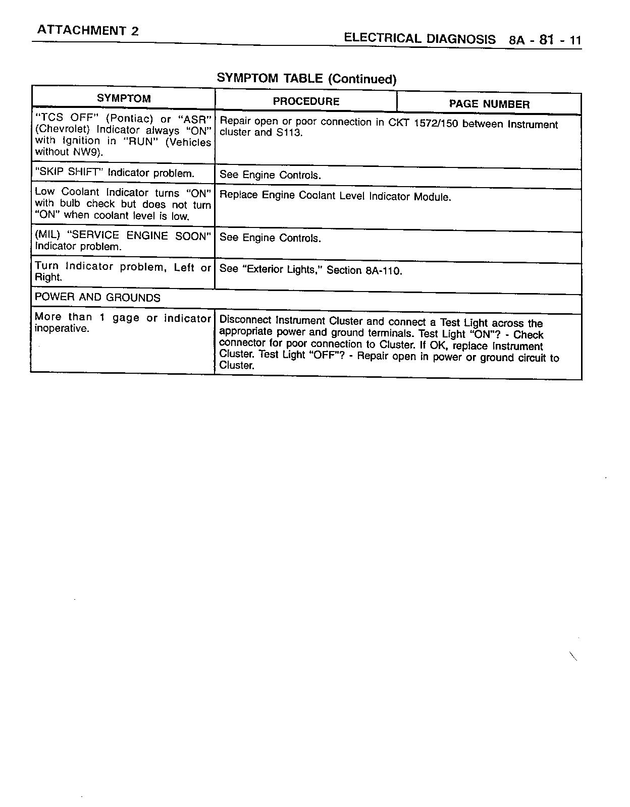
ODOMETER DIAGNOSTICS HAVE BEEN ADDED TO THE SYMPTOM TABLE. PLEASE USE THE FOLLOWING ATTACHMENTS TO REPLACE THE EXISTING PAGES IN THE SERVICE MANUAL.

ALSO, THE ODOMETER OPERATION HAS BEEN ADDED TO THE CIRCUIT DESCRIPTION AS FOLLOWS:

ODOMETER

IMPORTANT: SOME EARLY 1997 MODELS MAY HAVE AN ANALOG ODOMETER.

VOLTAGE PULSES FROM THE POWERTRAIN CONTROL MODULE (PCM) ON CIRCUIT 817 ARE INTERPRETED BY SOLID STATE LOGIC CIRCUITS WITHIN THE CLUSTER. THE SOLID STATE CIRCUITS PROCESS THE PULSES AND OUTPUT A SIGNAL TO DRIVE THE ODOMETER. THE ODOMETER IS PRE-SET TO DISPLAY DISTANCE TRAVELED IN EITHER MILES OR KILOMETERS AND CANNOT BE CHANGED.

FIGURES: 00 ATTACHMENTS: 02


Object Number: 96809  Size: FS


Object Number: 96810  Size: FS

GENERAL MOTORS BULLETINS ARE INTENDED FOR USE BY PROFESSIONAL TECHNICIANS, NOT A "DO-IT-YOURSELFER". THEY ARE WRITTEN TO INFORM THOSE TECHNICIANS OF CONDITIONS THAT MAY OCCUR ON SOME VEHICLES, OR TO PROVIDE INFORMATION THAT COULD ASSIST IN THE PROPER SERVICE OF A VEHICLE. PROPERLY TRAINED TECHNICIANS HAVE THE EQUIPMENT, TOOLS, SAFETY INSTRUCTIONS AND KNOW-HOW TO DO A JOB PROPERLY AND SAFELY. IF A CONDITION IS DESCRIBED, DO NOT ASSUME THAT THE BULLETIN APPLIES TO YOUR VEHICLE, OR THAT YOUR VEHICLE WILL HAVE THAT CONDITION. SEE A GENERAL MOTORS DEALER SERVICING YOUR BRAND OF GENERAL MOTORS VEHICLE FOR INFORMATION ON WHETHER YOUR VEHICLE MAY BENEFIT FROM THE INFORMATION.

COPYRIGHT 1997 GENERAL MOTORS CORPORATION. ALL RIGHTS RESERVED.