GM Service Manual Online
For 1990-2009 cars only

Tires should be rotated every 5,000 to 8,000 miles (8 000 to 13 000 km).

Any time you notice unusual wear, rotate your tires as soon as possible and check wheel alignment. Also check for damaged tires or wheels. See When It Is Time for New Tires and Wheel Replacement for more information.

The purpose of regular rotation is to achieve more uniform wear for all tires on the vehicle. The first rotation is the most important. See Scheduled Maintenance .


Object Number: 807638  Size: B2

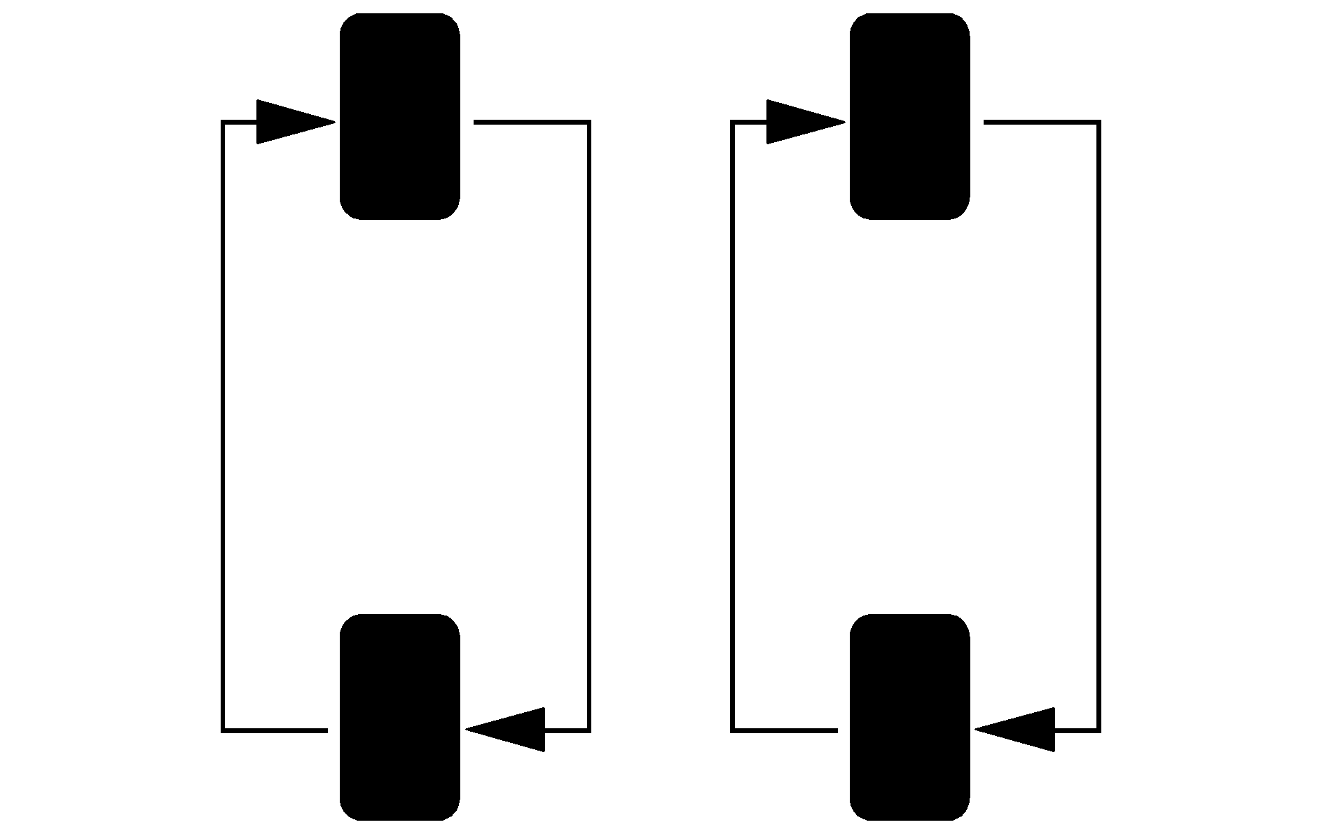
When rotating non-directional tires, always use the correct rotation pattern shown here.


Object Number: 867773  Size: B3

If your vehicle has 235/40ZR18 tires, they must roll in a certain direction for the best overall performance. The direction is shown by an arrow on the tire sidewall. Because these tires are uni-directional, they should be rotated as shown here. These tires should only be moved from front to rear and rear to front on the same side of the vehicle.

Don't include the compact spare tire in your tire rotation.

After the tires have been rotated, adjust the front and rear inflation pressures as shown on the Tire and Loading Information label. Make certain that all wheel nuts are properly tightened. See "Wheel Nut Torque" under Capacities and Specifications .

Caution: Rust or dirt on a wheel, or on the parts to which it is fastened, can make wheel nuts become loose after time. The wheel could come off and cause an accident. When you change a wheel, remove any rust or dirt from places where the wheel attaches to the vehicle. In an emergency, you can use a cloth or a paper towel to do this; but be sure to use a scraper or wire brush later, if needed, to get all the rust or dirt off. See Changing a Flat Tire .