Definition:
Engine speed sensitive vibrations can
be heard or felt as engine speed (rpm) varies. The speed at which the vehicle is traveling
(mph) does not effect an engine speed sensitive vibration.
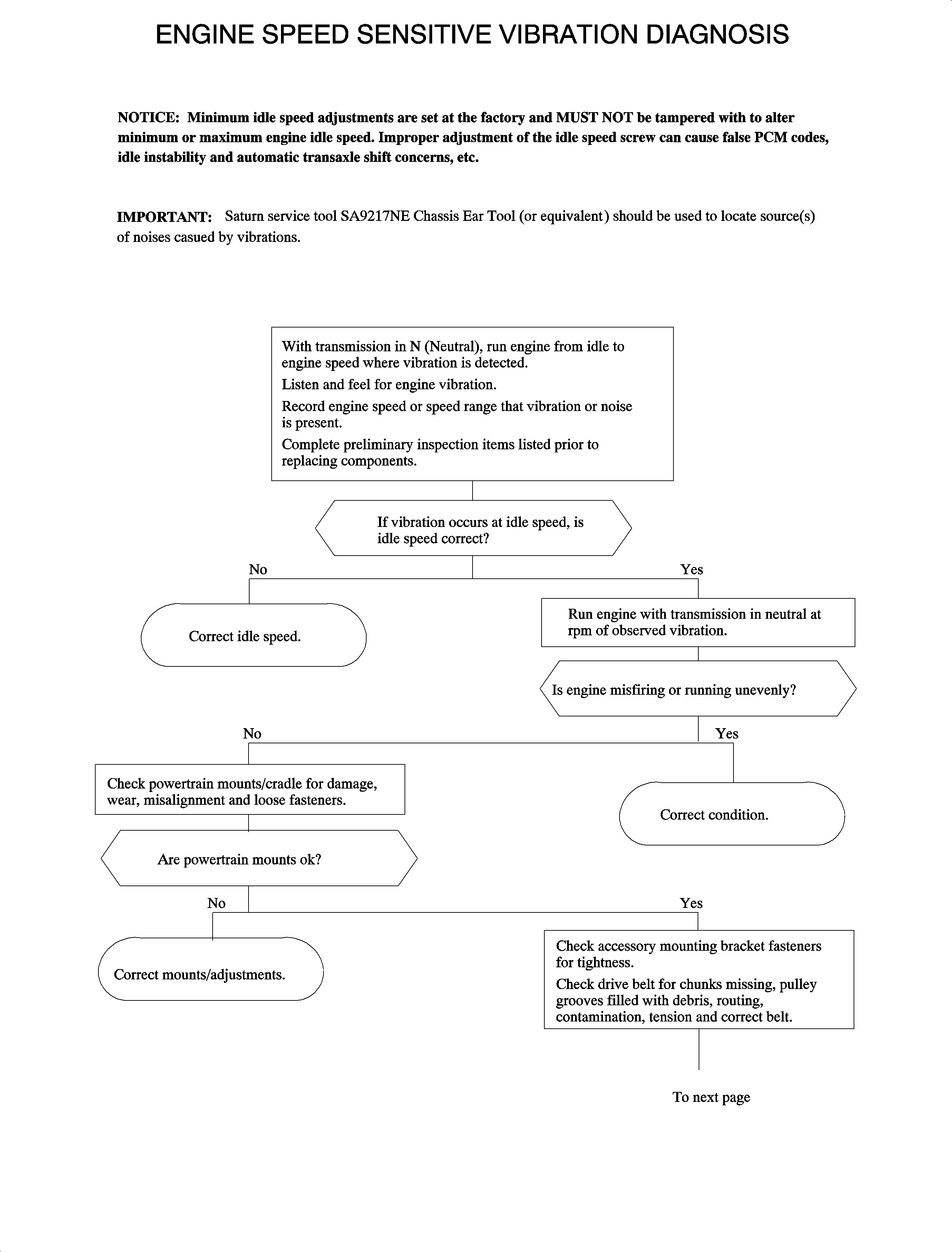
Important: Saturn service tool SA9217NE Chassis Ear (or equivalent) should be used to locate
source(s) of noises caused by vibration(s).
Preliminary inspection items:
| • | Correct engine mounts must be properly aligned and not pre-loaded. The
engine should rock forward and rearward slightly on its mounts. |
| • | Check engine mounts for damage and wear. |
| • | Powertrain cradle alignment to vehicle frame. |
| • | Exhaust system isolators must be tight and not worn. |
| • | Muffler hanger must not be binding in support bracket. |
| • | Coolant module upper L
brackets and lower grommets
must be properly adjusted and not binding the coolant module. |
| • | Upper coolant module foam strip and wiring harness must not bind the module.
Module must move freely. |
| • | A/C Compressor suction hose must not contact battery tray. |
| • | A/C compressor discharge hose must not contact automatic transaxle cooler
hoses. Reposition A/C hoses as necessary to prevent contact. |
| • | Hood latch and stops must be properly adjusted. |
| • | Accessory drive pulley grooves must not have debris in them. |
| • | Brake booster check valve not making an intermittent noise. |
| • | Engine misfire - check diagnostic trouble codes. |
| • | Engine wiring harness contacting/binding against battery tray. |