GM Service Manual Online
For 1990-2009 cars only

The controller area network (CAN) is a high speed system for sharping data. The circuit consists of a 2 wire twisted pair connecting the engine control module (ECM) to the transmission control module (TCM), and a second twisted pair connecting the body control module (BCM) to the ECM.

The CAN circuits are monitored continuously by the modules on the circuit. The only requirement is that the modules are in an On power mode.

Each module on the CAN serial data circuit learns the identify of the other modules on the circuit. If a module stops communicating after all module have initiated for the ignition cycle, other modules set a DTC specific for the module not communicating:

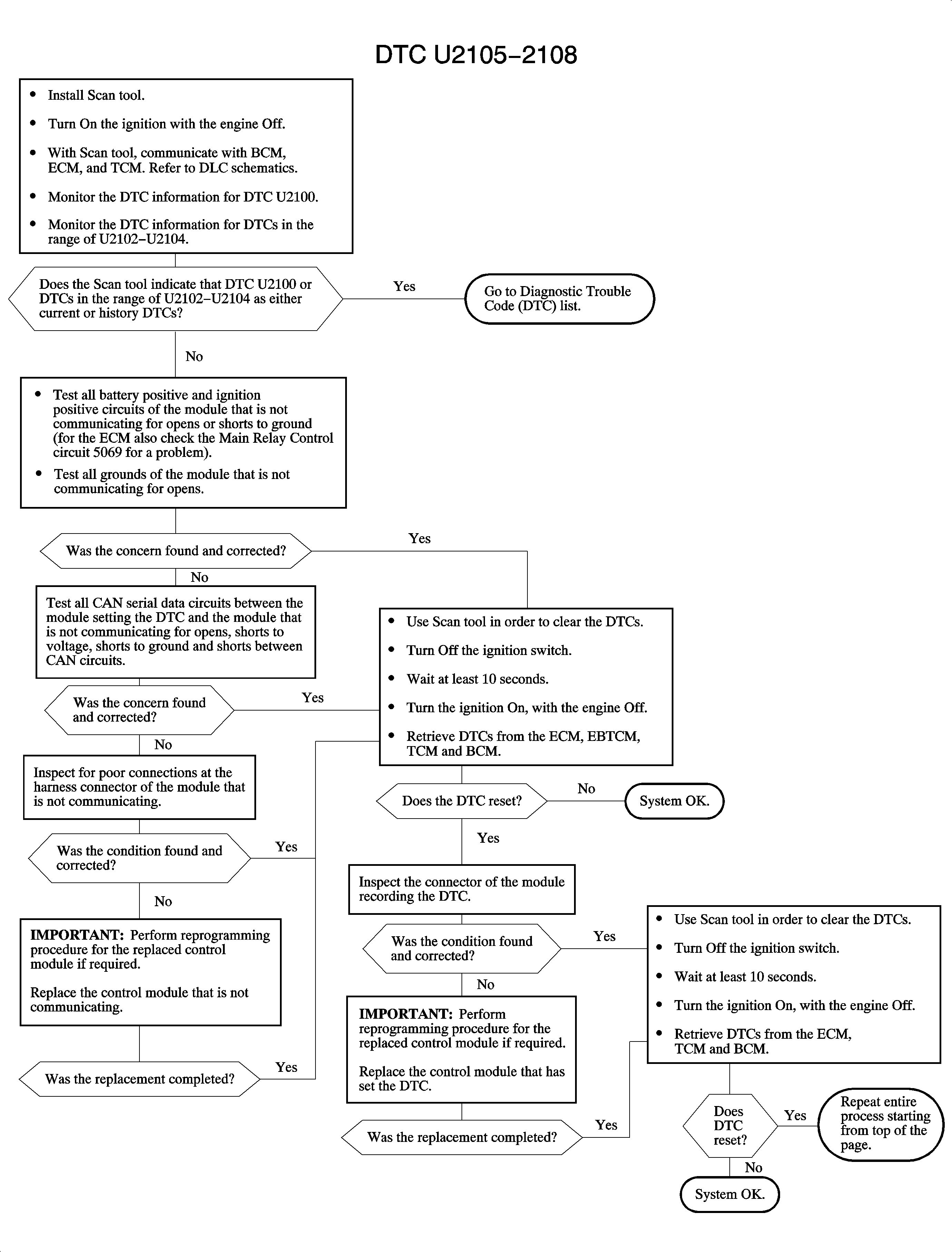
    • DTC U2105, cannot communicate with the ECM
    • DTC U2106, cannot communicate with the TCM
    • DTC U2107, cannot communicate with the BCM

Control Module

ID Number

Engine Control Module (ECM)

05

Transaxle Control Module (TCM)

06

Body Control Module (BCM)

07

Besides storing the DTC as both current and history, the modules on the CAN network each take separate actions as listed:

    • ECM:
      • Turn ON the malfunction indicator lamp (MIL) during the second consecutive drive cycle with the error detected.
      • Record the operating conditions at the time of turning ON the MIL and store the data as Freeze Frame information.
    • Transaxle Control Module (TCM):
        Send a request to the ECM to turn ON the MIL during the second consecutive drive cycle with the error detected.
    • BCM:
      • Turn ON the MIL during the second consecutive drive cycle with the error detected.
      • Record the operating conditions at the time of turning on the MIL and store the data as Freeze Frame information.

The MIL is cleared, turned Off and the DTC cleared by a different strategy for each module.

    • ECM:
      • If the fault is not detected 3 consecutive drive cycles, the current DTC is cleared and the MIL is turned Off.
      • The history DTC is cleared if the malfunction does not reoccur for 40 consecutive drive cycles.
      • The history DTC is cleared if there is a KAM reset, battery disconnected.
    • TCM
      • If the fault is not detected one consecutive drive cycle, the current DTC is cleared
      • The history DTC is cleared if the malfunction does not reoccur for 40 consecutive drive cycles.
    • BCM:
      • If the fault is not detected 3 consecutive drive cycles, the current DTC is cleared and the MIL is turned OFF.
      • The history DTC is cleared if the malfunction does not reoccur for 40 consecutive drive cycles.
      • The history DTC is cleared if there is a KAM reset, battery disconnected.
    • ECM:
      • If the fault is not detected 3 consecutive drive cycles, the current DTC is cleared and the MIL is turned Off.
      • The history DTC is cleared if the malfunction does not reoccur for 40 consecutive drive cycles.
      • The history DTC is cleared if there is a KAM reset, battery disconnected).
    • TCM:
      • If the fault is not detected one consecutive drive cycle, the current DTC is cleared
      • The history DTC is cleared if the malfunction does not reoccur for 40 consecutive drive cycles.
    • BCM:
      • If the fault is not detected 3  consecutive drive cycles, the current DTC is cleared and the MIL is turned Off.
      • The history DTC is cleared if the malfunction does not reoccur for 40 consecutive drive cycles.
      • The history DTC is cleared if there is a KAM reset, battery disconnected.

DTC U2105 - U2108


Object Number: 898608  Size: FP