GM Service Manual Online
For 1990-2009 cars only

ABS System Voltage Low


Object Number: 909492  Size: MF

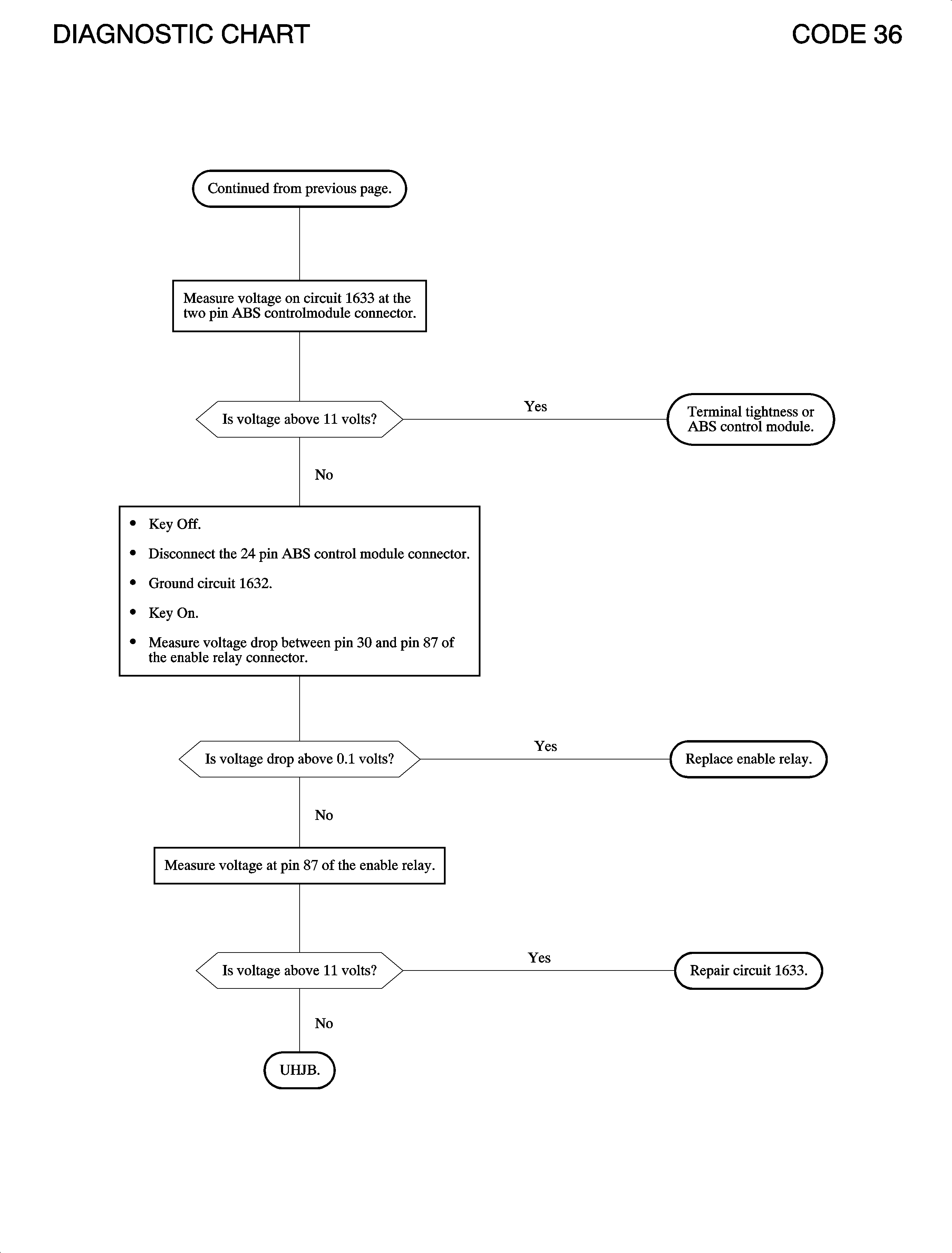
The ABS control module monitors voltage on circuit 1633 when the enable relay is closed. If voltage is below 11 volts, ABS will be disabled and the antilock telltale lamp will be turned On.

Code Parameters

Code 36 sets if:

ABS system voltage is between 10.8 to 11.6 volts

Code 86 could also set and the brake telltale lamp will turn On if the ABS rear motor is not in home position.

This code can set anytime the vehicle is moving faster than 13 km/h (8 mph) and no previous failure has disabled ABS.

Diagnostic Aids

Test Battery

If battery is low, check charging system

Check for a battery draw that may be discharging the battery.

Using an ohmmeter to check resistance, shake wires to locate intermittents.

Check the tightness of the female terminal grip with a spare male terminal

When attempting to diagnose an intermittent problem, use the Scan tool to review supplemental diagnostic information. The supplemental data can be used to duplicate a problem.

Select Malf History from Scan tool ABS menu.

Intermittents, shorts or opens suspected to be at the connectors can be detected by using a diagnostic service probe. Voltage can be read on wires without disconnecting any connectors


Object Number: 910591  Size: FP

Object Number: 910607  Size: FP