Circuit Description
During normal driving modes, the PCM/TCM adapts line pressure to prevent clutch
slip and harsh shifts. I the 2nd clutch is slipping after pressure is adapted
to the high line, it is determined that 2nd gear is not available. Second gear
clutch is applied by opening circuit 1222 at the PCM.
Conditions for Setting the DTC
DTC P0732 may be set while driving in 2nd, steady state, or during an up or
down shift to 2nd, and when the PCM has detected the following conditions twice per
ignition cycle:
| • | Vehicle speed is above 5 km/h (3 mph). |
| • | Input shaft speed is greater than 224 RPM. |
| • | No input shaft or vehicle speed, or noise DTCs. |
| • | High line pressure has been commanded. |
| • | The ratio failure counter is equal to 255 steady state, counter range
is 0-255, or the shift counter is greater than 100 on a downshift or upshift. |
Test Description
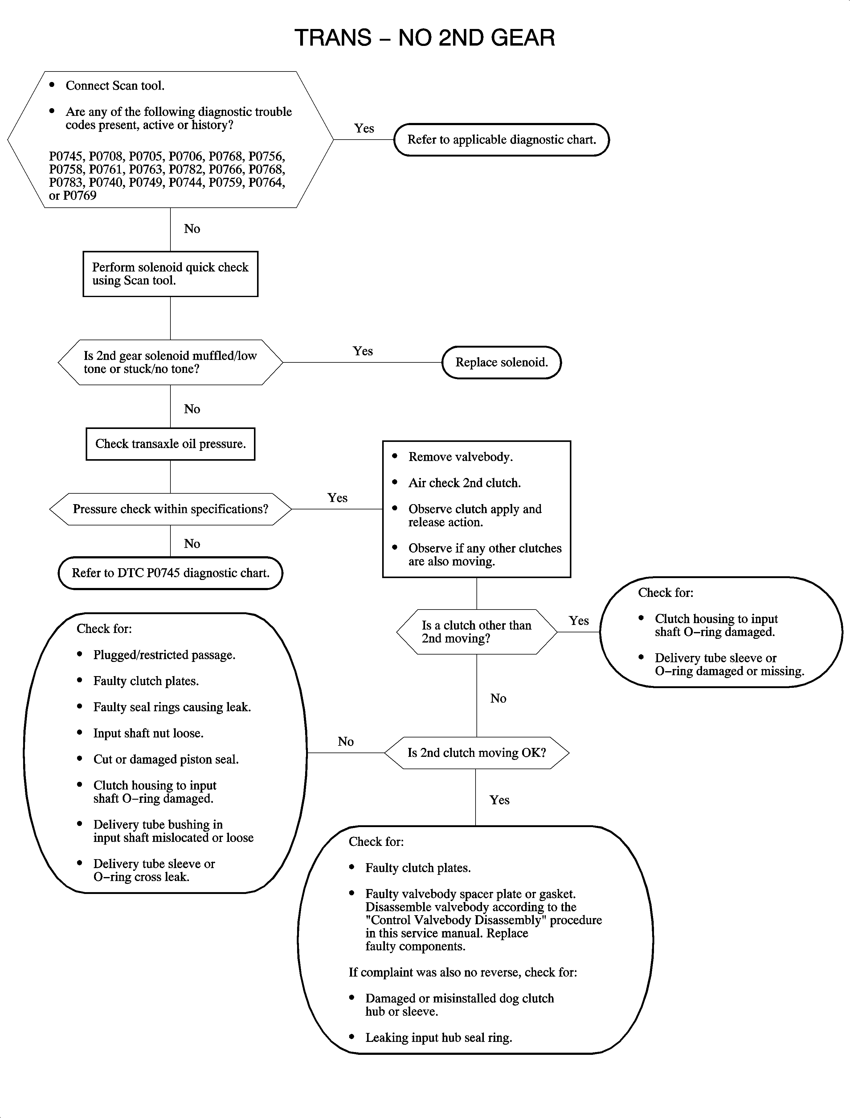
Numbered steps below refer to numbered steps on the chart.
- Check for DTCs P0708, P0705, P0706, P0740, P0744, P0745, P0749,
P0756, P0758, P0759, P0761, P0763, P0764, P0766, P0768, P0769, P0782, or P0783.
They must be eliminated first as a possible cause of DTC P0732.
- Check the solenoid operation. Use the solenoid quick check in the test
section. Listen and compare the noise of the 2nd gear solenoid to that of other solenoids.
The noise of all should be similar.
Important: To check the solenoid operation, command
the solenoid quick test using the scan tool.
- Check the pressure regulator valve operation. Use the pressure test in the test
section at the end of the DTC charts. Make sure the pressure increases in correct
increments during the pressure test. If the pressure is low, repair the pressure condition
first.
- For pressure apply points, refer to the Test Section Diagnosis. Apply
compressed air with the rubber nozzle on the air gun. This step will determine if
there is an internal problem.
- If there is a cross leak to another clutch, there may also be another
DTC set indicating a gear stuck ON. This may help pinpoint the source of the leak.
If a leak is detected to lube circuit, check the input nut torque.
- As pressure is applied and released, the clutch plates should also apply
and release. Observe the oil holes in the clutch housing. If the oil has darkened
and contains clutch plate material, the clutches have probably failed.
Repair Verification
Monitor the DTC menu Code Status for Pass Since Code Clear and Pass This Ignition
Cycle. When both have passed, the repair is verified.
Criteria for pass:
| • | Steady state in 2nd gear with no slip for 0.4 seconds. |
| • | Engine torque greater than 30 counts for 0.1 seconds. |
Diagnostic Aids
| • | When the PCM detects a fault in the circuit, open, ground, or short, the
PCM will open the circuit internally to protect the circuit. |
| • | It could be a hot or cold only condition. If the condition is intermittent,
try to reproduce conditions in the MALF table to reset the DTC. |
| • | If a DTC indicating 3rd or 4th gear is stuck ON, DTC P0732
will also set. Repair the higher gear DTC first. |
| • | A possible wrong case or Fwd/Rev servo piston installed is causing limited
travel. |