GM Service Manual Online
For 1990-2009 cars only
Makes
🢒
Saturn
🢒
2001
🢒
SL2/SC2/SW2
🢒
General Information
🢒
Vibration Diagnosis and Correction
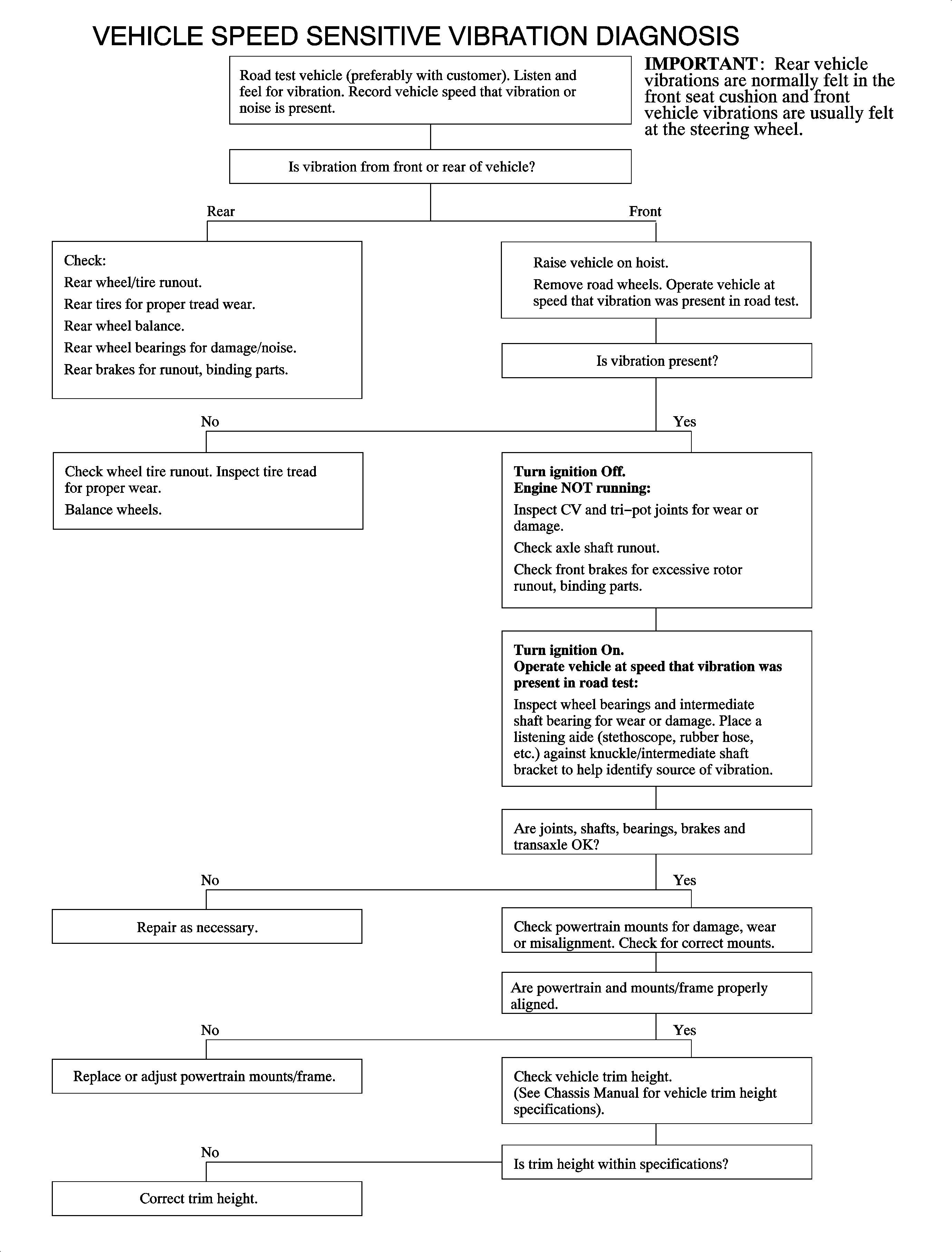
🢒 Vehicle-Speed Sensitive Vibration Diagnosis