GM Service Manual Online
For 1990-2009 cars only
Definition:  Engine speed sensitive vibrations can be heard or felt as engine speed (RPM) varies. The speed at which the vehicle is traveling (mph) does not effect an engine speed sensitive vibration.

Notice: The minimum idle speed adjustment is set at the factory and MUST NOT be tampered with to alter the MINIMUM and MAXIMUM engine idle speed. Improper adjustment of the idle speed screw can cause false PCM codes, idle and automatic transaxle quality concerns, etc.

Preliminary Inspection Items

   • 

Correct engine mounts must be properly aligned and not pre-loaded. The engine should rock forward and rearward slightly on its mounts.

   • 

Check engine mounts for damage and wear.

   • 

Powertrain frame alignment to vehicle frame.

   • 

Exhaust system isolators must be tight and not worn.

   • 

Muffler hanger must not be binding in support bracket.

   • 

Coolant module upper L brackets and lower grommets must be properly adjusted and not binding the coolant module.

   • 

Upper coolant module foam strip and wiring harness must not bind the module. Module must move freely.

   • 

A/C Compressor suction hose must not contact battery tray.

   • 

A/C compressor discharge hose must not contact automatic transaxle cooler hoses. Reposition A/C hoses as necessary to prevent contact.

   • 

Cooling system deareation hose not contacting front of dash.

   • 

Hood latch and stops must be properly adjusted.

   • 

Accessory drive pulley grooves must not have debris in them.

   • 

Engine positive crankcase ventilation (PCV) valve and brake booster check valve not making an intermittent noise.

   • 

Engine misfire - check diagnostic trouble codes.

   • 

Engine wiring harness contacting/binding against battery tray.

Important: Saturn service tool SA9217NE Chassis Ear Tool, or equivalent, should be used to locate sources of noises caused by vibrations.


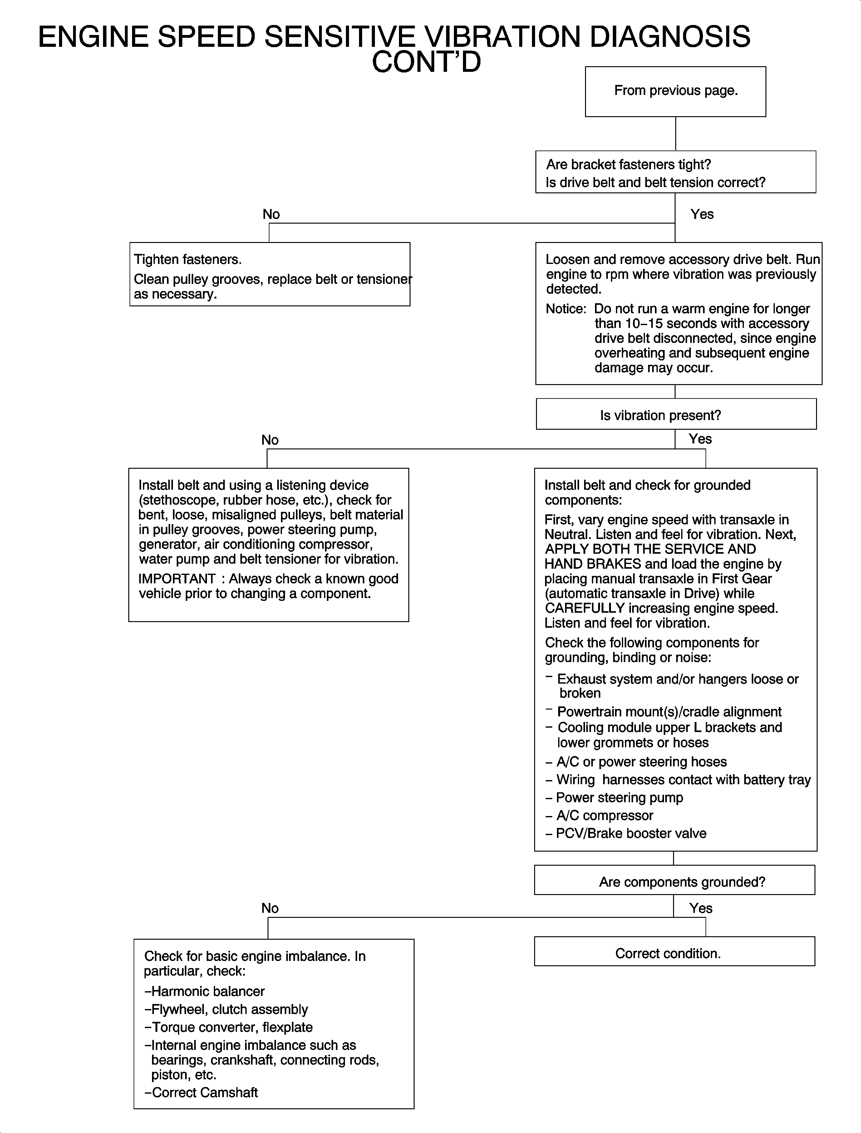
Object Number: 875503  Size: FP

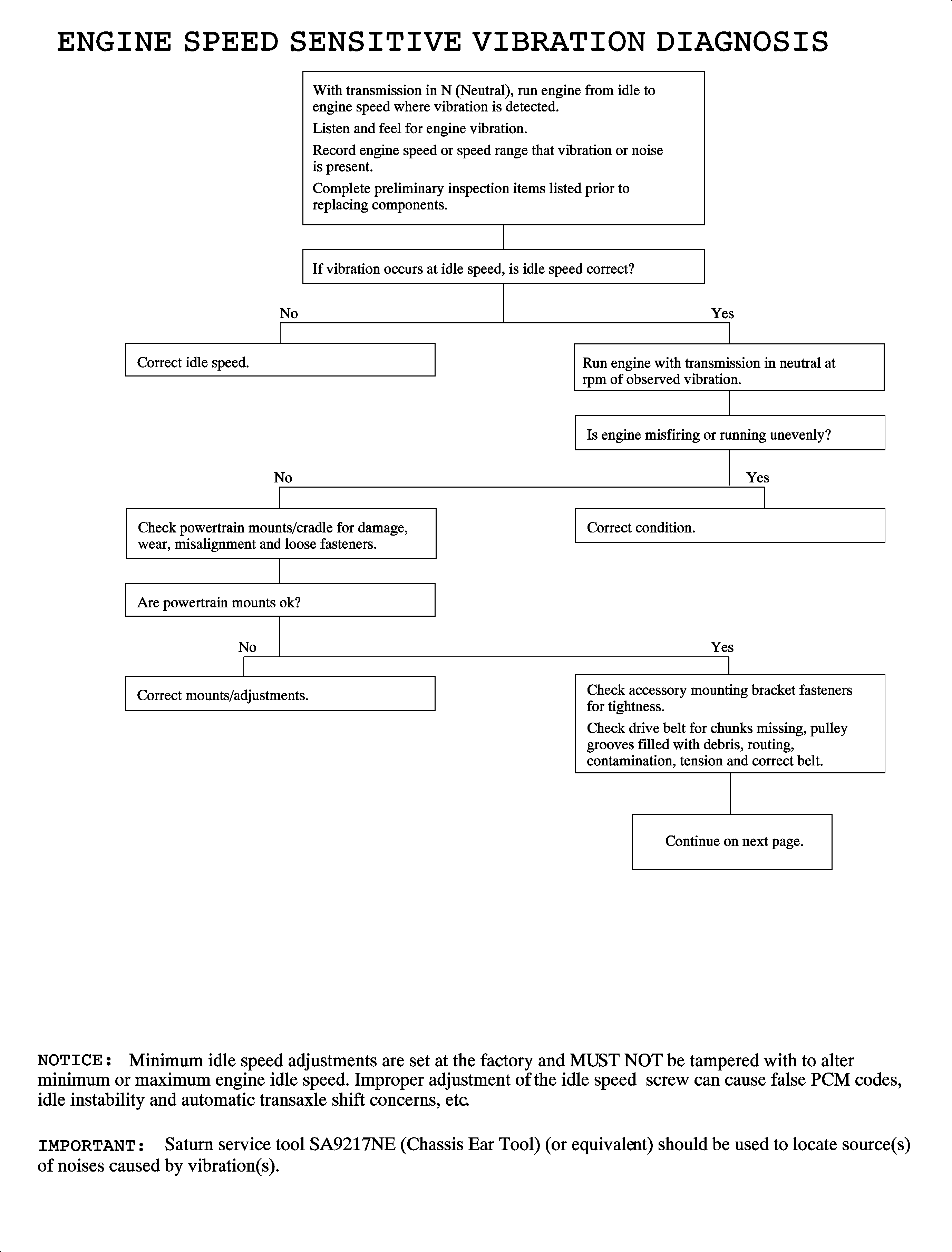
Object Number: 875504  Size: FP